
Bài tập cuối chương II - Toán 9

Flashcard
•
English
•
9th Grade
•
Hard
Dịu Bùi
Used 1+ times
FREE Resource
Student preview

6 questions
Show all answers
1.
FLASHCARD QUESTION
Front
Chọn khẳng định sai trong các khẳng định sau: Nếu a < b thì a + c < b + c, Nếu a>b thì a-c>b-c., Nếu a≥b và c<0 thì ac≤bc., Nếu a≤b và c>0 thì ac≥bc.
Back
Nếu a≤b và c>0 thì ac≥bc.
2.
FLASHCARD QUESTION
Front
-7(3x + 5) ≥ 0
Back
x ≤ -5/3
3.
FLASHCARD QUESTION
Front
Cho x ≤ y. Khẳng định nào sau đây sai? Options: 1 + 2x ≤ 1 + 2y, -x - 3 ≤ -y - 3., -3x ≥ -3y, 15y + 1 ≥ 15x + 1
Back
-x - 3 ≤ -y - 3.
4.
FLASHCARD QUESTION
Front
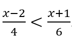
Giải bất phương trình
Back
x < 8
5.
FLASHCARD QUESTION
Front
Một người đi bộ một quãng đường dài 18km trong khoảng thời gian không nhiều hơn là 4 giờ. Lúc đầu người đó đi với vận tốc 5km/h, về sau đi với vận tốc 4km/h. Xác định độ dài đoạn đường tối thiểu mà người đó đã đi với vận tốc 5km/h ?
Back
10km
6.
FLASHCARD QUESTION
Front
Giải bất phương trình sau : 3(x+2)(x-2) ≤ 3x²+x
Back
x ≥ -12
Similar Resources on Wayground
10 questions
ytc 4 bài 6

Flashcard
•
KG
10 questions
Trắc nghiệm Hóa học

Flashcard
•
8th Grade
10 questions
KHTN 7 BÀI TẬP CHỦ ĐỀ 4

Flashcard
•
7th Grade
14 questions
Đoán tên bài hát

Flashcard
•
KG
15 questions
HĐNG- chủ đề ATGT

Flashcard
•
10th Grade
10 questions
Seasonal Menu

Flashcard
•
KG
8 questions
KAIWA DỊCH SANG TIẾNG NHẬT P5

Flashcard
•
KG
15 questions
trắc nghiệm toán

Flashcard
•
8th Grade
Popular Resources on Wayground
20 questions
Brand Labels

Quiz
•
5th - 12th Grade
10 questions
Ice Breaker Trivia: Food from Around the World

Quiz
•
3rd - 12th Grade
25 questions
Multiplication Facts

Quiz
•
5th Grade
20 questions
ELA Advisory Review

Quiz
•
7th Grade
15 questions
Subtracting Integers

Quiz
•
7th Grade
22 questions
Adding Integers

Quiz
•
6th Grade
10 questions
Multiplication and Division Unknowns

Quiz
•
3rd Grade
10 questions
Exploring Digital Citizenship Essentials

Interactive video
•
6th - 10th Grade
Discover more resources for English
12 questions
PSAT Week 1

Quiz
•
8th - 10th Grade
10 questions
Exploring Figurative Language Concepts

Interactive video
•
6th - 10th Grade
10 questions
Identifying Common and Proper Nouns

Interactive video
•
6th - 10th Grade
16 questions
Ethos, Pathos, Logos Practice

Quiz
•
9th Grade
10 questions
Analyzing Author's Purpose in Nonfiction Texts

Interactive video
•
6th - 10th Grade
10 questions
Identifying and Using Sentence Structures

Interactive video
•
6th - 10th Grade
20 questions
Subject-Verb Agreement

Quiz
•
9th Grade
10 questions
Finding the Theme of a Story

Interactive video
•
6th - 10th Grade