Unit 4 Review
Flashcard
•
Mathematics
•
9th Grade
•
Hard
Wayground Content
FREE Resource
Student preview

16 questions
Show all answers
1.
FLASHCARD QUESTION
Front
What is the total number of different cars that can be ordered if there are 3 engines, 8 colors, and 2 transmissions?
Back
The total number of different cars is calculated by multiplying the number of options: 3 engines × 8 colors × 2 transmissions = 48 different cars.
2.
FLASHCARD QUESTION
Front
What fraction of male subjects in a study drive a sports car if 39 out of 60 male subjects drive one?
Back
The fraction of male subjects that drive a sports car is 39/60.
3.
FLASHCARD QUESTION
Front
Calculate the permutation of 12 items taken 4 at a time (12P4).
Back
12P4 = 12! / (12-4)! = 11880.
4.
FLASHCARD QUESTION
Front
What is the term used when the order of selection matters in a group of students electing a president, vice president, secretary, and treasurer?
Back
The term is 'Permutation'.
5.
FLASHCARD QUESTION
Front
If 35% of students are freshmen and 30% are sophomores, what is the probability that a randomly chosen student is not a freshman or sophomore?
Back
The probability is 35%.
6.
FLASHCARD QUESTION
Front
Define 'Permutation'.
Back
A permutation is an arrangement of objects in a specific order.
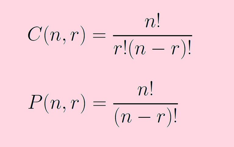
7.
FLASHCARD QUESTION
Front
Define 'Combination'.
Back
A combination is a selection of items without regard to the order.
Create a free account and access millions of resources
Create resources
Host any resource
Get auto-graded reports

Continue with Google

Continue with Email

Continue with Classlink

Continue with Clever
or continue with

Microsoft
%20(1).png)
Apple

Others
By signing up, you agree to our Terms of Service & Privacy Policy
Already have an account?
Similar Resources on Wayground
11 questions
Daily Activities and Time Expressions
Flashcard
•
9th Grade
11 questions
DYLAN CUESTIONARIO
Flashcard
•
KG
10 questions
Sayuran Sehat untuk Anak-Anak
Flashcard
•
KG
10 questions
Basic Concepts of Probability
Flashcard
•
8th Grade
10 questions
LECTURA COMPRENSIVA
Flashcard
•
9th Grade
15 questions
DPK 2.4 Flashcard
Flashcard
•
10th Grade
15 questions
Pelaku Ekonomi
Flashcard
•
8th Grade
8 questions
ORIGEN DEL UNIVERSO Y SUS COMPONENTES
Flashcard
•
8th Grade
Popular Resources on Wayground
20 questions
Brand Labels
Quiz
•
5th - 12th Grade
11 questions
NEASC Extended Advisory
Lesson
•
9th - 12th Grade
10 questions
Ice Breaker Trivia: Food from Around the World
Quiz
•
3rd - 12th Grade
10 questions
Boomer ⚡ Zoomer - Holiday Movies
Quiz
•
KG - University
25 questions
Multiplication Facts
Quiz
•
5th Grade
22 questions
Adding Integers
Quiz
•
6th Grade
10 questions
Multiplication and Division Unknowns
Quiz
•
3rd Grade
20 questions
Multiplying and Dividing Integers
Quiz
•
7th Grade
Discover more resources for Mathematics
12 questions
Graphing Inequalities on a Number Line
Quiz
•
9th Grade
15 questions
Two Step Equations
Quiz
•
9th Grade
9 questions
Linear Regression
Quiz
•
9th Grade
25 questions
Parallel Lines Cut by a Transversal
Quiz
•
9th Grade
15 questions
Solving Literal Equations
Quiz
•
8th - 9th Grade
12 questions
Absolute Value Equations
Quiz
•
9th Grade
10 questions
Proportional vs Non Proportional Relationships
Interactive video
•
6th - 10th Grade
15 questions
PSAT Math Practice
Quiz
•
9th Grade