
Operasi dan Pemodelan Bentuk Aljabar 7G
Presentation
•
Mathematics
•
7th Grade
•
Practice Problem
•
Medium
ANUGRAHINI BINTARI S.Si.
Used 3+ times
FREE Resource
34 Slides • 12 Questions
1
x
y
z
a x + b
Unknown
+
÷
x
-
m
Variabel
n
Sifat-sifat dan Operasi
E = MC
2
Matematika Kelas VII
(Fase D)
By Anugrahini Bintari, S.Si
2
Suku
Pada bagian sebelumnya kita telah mempelajari tentang suku pada
bentuk aljabar. Suku adalah bagian dari bentuk aljabar.
3c + 2d - 5
Bentuk aljabar di atas terdiri dari 3 suku yaitu :
3c 2d -5
Ketiga suku tersebut tidak sejenis karena masing-masing memiliki
variabel yang berbeda. Suku tidak sejenis tidak dapat dijumlahkan
atau dikurangkan.
3
Suku Sejenis
Suku sejenis memiliki variabel yang sama. Kita dapat
menyederhanakan suku-suku sejenis dengan menjumlahkan totalnya
dengan operasi penjumlahan dan pengurangan.
3c + 2b + 2c -4b
Bentuk aljabar tersebut memiliki 4 suku dan 2 variabel yang berbeda
yaitu b dan c. Jika kita kelompokan, maka :
3c
+2c
+2b
-4b
Suku dengan variabel c
Suku dengan variabel b
4
Penjumlahan dan Pengurangan Bentuk Aljabar
Penjumlahan dan pengurangan bentuk aljabar pada dasarnya
mengelompokkan suku-suku sejenis dan menggabungkan koefisiennya.
3c +2b + 2c -4b
= 3c + 2c + 2b - 4b
= 5c -2b
5
Ayo Berlatih!
Bentuk paling sederhana dari ekspresi aljabar berikut adalah…
#1
5a + 2b - 3a + 6b - a - b
6
Ayo Berlatih!
Bentuk paling sederhana dari ekspresi aljabar berikut adalah…
#1
5a + 2b - 3a + 6b - a - b
= 5a -3a -a +2b +6b -b
= a + 7b
7
Ayo Berlatih!
Tentukan hasil penjumlahan dari
#2
(4p – 3pq + 6q) + (–3p + 4pq – 5q)
8
Ayo Berlatih!
Hasil penjumlahan dari
#2
(4p – 3pq + 6q) + (–3p + 4pq – 5q)
= 4p – 3pq + 6q–3p + 4pq – 5q
= 4p - 3p - 3pq + 4pq+ 6q - 5q
= p + pq + q
9
Ayo Berlatih!
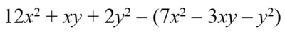
Tentukan hasil pengurangan dari
#3
10
Ayo Berlatih!
Hasil pengurangan dari
#3
11
Ayo Berlatih!
Tuliskan keliling persegi panjang berikut dalam bentuk aljabar yang paling sederhana!
#4
4p
p + 1
12
Ayo Berlatih!
Tuliskan keliling persegi panjang berikut dalam bentuk aljabar yang paling sederhana!
#4
= 4p + 4p + (p+1) + (p+1)
4p
p + 1
= 10p + 2
Keliling
13
Perkalian Bentuk Aljabar
1) a + a + a = 3 x a atau secara singkat ditulis 3a
2) a x 5 = 5a koefisien dituliskan terlebih dahulu.
3) b x 3 x a = 3ab tuliskan koefisien (angka) kemudian variabel
4) 2p x 3q = 6pq kalikan dulu koefisiennya lalu variabelnya.
5) a x a = a2
PERKALIAN DASAR
14
a ( b + c) = ab + ac
Perkalian
PERKALIAN BENTUK DISTRIBUTIF
a (b + c)
Contoh :
3y (2y + 5) = 6y2 + 15y
1)
15
Perkalian
PERKALIAN BENTUK DISTRIBUTIF
= ac + ad + bc +bd
(a + b)(c + d)
(a + b)(c + d)
2)
= 3p2 -12p + 5p -20
= 3p2 -7p -20
(3p + 5 )(p - 4)
Contoh :
16
Ayo Berlatih!
Tuliskan luas persegi panjang berikut kemudian jabarkan!
#1
4p
p + 1
17
Ayo Berlatih!
Tuliskan luas persegi panjang berikut kemudian jabarkan!
#1
= 4p (p+1)
4p
p + 1
= 4p2 + 4p
Luas
18
Ayo Berlatih!
Jabarkan bentuk aljabar berikut!
#2
(x + y)(x + y)
19
Ayo Berlatih!
Jabarkan bentuk aljabar berikut!
#2
(x + y)(x + y)
= x2 + xy + xy + y2
= x2 + 2xy + y2
20
Pembagian Bentuk Aljabar
Dalam menyederhanakan bentuk aljabar, kita hanya perlu mencari
faktor atau variabel yang sama dari bentuk aljabar yang dibagi dan
pembaginya.
Contoh :
48y
2
6y
= 8y
6y + 8
2
= 3y + 4
1)
2)
21
4a(6a+3)
Ayo Berlatih!
Sederhanakan bentuk aljabar berikut!
#1
6a
2
22
4a(6a+3)
2(6a+3)
12a +6
Ayo Berlatih!
Sederhanakan bentuk aljabar berikut!
#1
6a
2
3a
=
3a
=
4a +2
a
=
23
Faktorisasi Aljabar
Faktorisasi aljabar adalah kebalikan dari penjabaran bentuk aljabar
pada perkalian distributif, artinya mengubah suatu bentuk aljabar ke
dalam faktor-faktornya.
Contoh :
60m-6 = 6(10m - ....)
Bilangan apa yang tepat untuk mengisi titik-titik ?
24
Faktorisasi Aljabar
Contoh :
60m-6 = 6(10m - 1 )
6(10m - 1 )
6
10m - 1
faktor
faktor
25
Ayo Berlatih!
#1
8x + 6 =
....(4x+3)
Blangan apa yang tepat untuk mengisi titik-titik berikut?
1)
-25x + 20 = -5 (....x - ....)
2)
26
Ayo Berlatih!
#1
8x + 6 = 2(4x+3)
Blangan apa yang tepat untuk mengisi bagian yang ditandai oleh simbol
kotak?
2)
-25x + 20 = -5 (5x - 4)
1)
27
28
29
30
31
32
33
34
35
Multiple Choice
Bentuk sederhana dari 6a – 2b – 3a + 7b adalah
3a + 5b
3a – 5b
3a – 9b
9a – 9b
36
Multiple Choice
Bentuk sederhana dari 2x2 + 5x – 8 + 4x2 – 8x + 9 adalah
6x2 – 3x + 1
6x2 – 3x – 1
6x2 – 3x + 17
x2 – 3x – 17
37
Multiple Choice
Hasil pengurangan (5x + 2y) – (–3x + 6y) adalah
–2x – 8y
2x + 8y
8x – 4y
–8x + 4y
38
Multiple Choice
Hasil perkalian dari 2a3b5c × (–6ab6) adalah
12a4b11c
12a3b30c
–12a4b11c
–12a3b30c
39
Multiple Choice
Hasil perkalian dari 4(a2 – 8a + 7) adalah
4a – 32a + 28
4a2+ 32a + 28
4a + 32a + 28
4a2– 32a + 28
40
Multiple Choice
Hasil Perkalian dari (x – 3) (x + 3) adalah
x2 + 6x + 9
x2 – 9
x2 - 6x + 9
x2 + 9
41
Multiple Choice
Hasil pembagian dari 24a8b7 : (–4a4b5) adalah
6a4b2
–6a4b2
6a12b12
– a12b12
42
Multiple Choice
Bentuk faktor dari bentuk aljabar 4x2 + 8x adalah
4(x2 + 2x)
2(2x2 + 4x)
4x(x + 2)
4x2(1 +2)
43
Multiple Choice
Bentuk faktor dari bentuk aljabar x2 + 2x - 24 adalah
(x + 4) (x + 6)
(x - 6) (x + 4)
(x - 4) (x - 6)
(x - 4) (x + 6)
44
Multiple Choice
Bentuk faktor dari bentuk aljabar 2x2 + 13x + 6 adalah
(2x +3) (x +2)
(2x +2) (x + 3)
(2x + 1) (x + 6)
(2x + 6) (x + 1)
45
Multiple Choice
Bentuk faktor dari bentuk aljabar x2 - 36 adalah
(x + 6) (x + 6)
(x - 6) (x - 6)
(x +36) (x -36)
(x + 6) (x - 6)
46
Multiple Choice
Pak Anton memanen 4 kali jumlah padi yang dipanen Pak Toni. Jika hasil panen Pak Toni adalah x, maka hasil panen total mereka berdua dapat dimodelkan sebagai . . . .
4x - x
4x + x
4x + 4x
x – 4x
x
y
z
a x + b
Unknown
+
÷
x
-
m
Variabel
n
Sifat-sifat dan Operasi
E = MC
2
Matematika Kelas VII
(Fase D)
By Anugrahini Bintari, S.Si
Show answer
Auto Play
Slide 1 / 46
SLIDE
Similar Resources on Wayground
39 questions
Properties of Multiplication
Presentation
•
4th Grade
42 questions
Number of Solutions to Linear Equations
Presentation
•
7th - 8th Grade
39 questions
unit 10 exam re
Presentation
•
7th Grade
43 questions
KLASIFIKASI MATERI DAN PERUBAHANNYA
Presentation
•
7th Grade
41 questions
Math 6A Final Review (Gee)
Presentation
•
6th Grade
42 questions
Persiapan PAS Matematika Kelas 7
Presentation
•
7th Grade
42 questions
Intro to Polynomials
Presentation
•
7th Grade
Popular Resources on Wayground
10 questions
Fire Safety Quiz
Quiz
•
12th Grade
20 questions
Equivalent Fractions
Quiz
•
3rd Grade
20 questions
Main Idea and Details
Quiz
•
5th Grade
20 questions
Context Clues
Quiz
•
6th Grade
20 questions
Inferences
Quiz
•
4th Grade
36 questions
6th Grade Math STAAR Review
Quiz
•
6th Grade
19 questions
Classifying Quadrilaterals
Quiz
•
3rd Grade
12 questions
What makes Nebraska's government unique?
Quiz
•
4th - 5th Grade
Discover more resources for Mathematics
14 questions
Volume of rectangular prisms
Quiz
•
7th Grade
22 questions
Simple Probability
Quiz
•
7th Grade
20 questions
Graphing Inequalities on a Number Line
Quiz
•
6th - 9th Grade
24 questions
7th Grade Math STAAR REVIEW
Quiz
•
7th Grade
12 questions
Simple Probability
Quiz
•
7th Grade
15 questions
Area and Circumference of a Circle
Quiz
•
7th Grade
10 questions
Mean, Median, Mode, and Range
Quiz
•
7th Grade
5 questions
8.PS/PFA Quizizz Day 1
Quiz
•
6th - 8th Grade