
Cuestionario de Ecuaciones
Authored by Maestro Fiscal
Mathematics
Professional Development

AI Actions
Add similar questions
Adjust reading levels
Convert to real-world scenario
Translate activity
More...
Content View
Student View
5 questions
Show all answers
1.
MULTIPLE CHOICE QUESTION
10 sec • 2 pts
¿Cuál es el discriminante en una ecuación de segundo grado?
b²−4ac
2a−b
b²+4ac
a+b+c
2.
MULTIPLE CHOICE QUESTION
10 sec • 2 pts
¿Qué método consiste en sustituir una incógnita despejada de una ecuación en otra dentro de un sistema de dos ecuaciones con dos incógnitas?
Eliminación
Igualación
Sustitución
Factorización
3.
MULTIPLE CHOICE QUESTION
10 sec • 2 pts
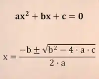
¿Cuál es la forma general de una ecuación de segundo grado?
ax²+bx+c=0
ax+b=0
a²x+b=0
ax³+bx+c=0
4.
MULTIPLE CHOICE QUESTION
10 sec • 2 pts
En un sistema de dos ecuaciones, ¿cuándo se dice que las ecuaciones son independientes?
Cuando tienen una solución en común.
Cuando las ecuaciones son paralelas.
Cuando no tienen ninguna solución.
Cuando representan la misma línea.
5.
MULTIPLE CHOICE QUESTION
10 sec • 2 pts
¿Qué método es más eficiente para resolver un sistema de ecuaciones cuando los coeficientes de una incógnita son iguales pero de signos opuestos?
Sustitución
Eliminación
Igualación
Fórmula general
Access all questions and much more by creating a free account
Create resources
Host any resource
Get auto-graded reports

Continue with Google

Continue with Email

Continue with Classlink

Continue with Clever
or continue with

Microsoft
%20(1).png)
Apple
Others
Already have an account?