
MATEMATIKA 6 S2 HAL 011
Authored by almas site
Mathematics
6th Grade

AI Actions
Add similar questions
Adjust reading levels
Convert to real-world scenario
Translate activity
More...
Content View
Student View
5 questions
Show all answers
1.
MULTIPLE CHOICE QUESTION
30 sec • 1 pt
Hitunglah hasil perkalian berikut:
2 1/ 2
2.
MULTIPLE CHOICE QUESTION
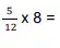
30 sec • 1 pt
Hitunglah hasil perkalian berikut:
3.
MULTIPLE CHOICE QUESTION
30 sec • 1 pt
Hitunglah hasil perkalian berikut:
2 1/ 3
4.
MULTIPLE CHOICE QUESTION
30 sec • 1 pt
Hitunglah hasil perkalian berikut:
5.
MULTIPLE CHOICE QUESTION
30 sec • 1 pt
Hitunglah hasil perkalian berikut:
3 1 /3
Access all questions and much more by creating a free account
Create resources
Host any resource
Get auto-graded reports

Continue with Google

Continue with Email

Continue with Classlink

Continue with Clever
or continue with

Microsoft
%20(1).png)
Apple
Others
Already have an account?