
Ôn tập - Hệ thống tự động hóa - Robotics
Authored by Phi Anh
Information Technology (IT)
9th Grade
Used 2+ times

AI Actions
Add similar questions
Adjust reading levels
Convert to real-world scenario
Translate activity
More...
Content View
Student View
10 questions
Show all answers
1.
MULTIPLE CHOICE QUESTION
10 sec • 1 pt
Sơ đồ khối mô tả điều gì?
2.
MULTIPLE CHOICE QUESTION
10 sec • 1 pt

Biểu tượng này có chức năng gì trong sơ đồ khối?
3.
MULTIPLE CHOICE QUESTION
10 sec • 1 pt

Biểu tượng này có chức năng gì trong sơ đồ khối?
4.
MULTIPLE CHOICE QUESTION
10 sec • 1 pt

Biểu tượng này có chức năng gì trong sơ đồ khối?
5.
MULTIPLE CHOICE QUESTION
30 sec • 1 pt
Biểu tượng này có chức năng gì trong sơ đồ khối?
Xuất
Trả về giá trị (return)
Nhập
Xử lý/tính toán/gán
6.
MULTIPLE CHOICE QUESTION
10 sec • 1 pt

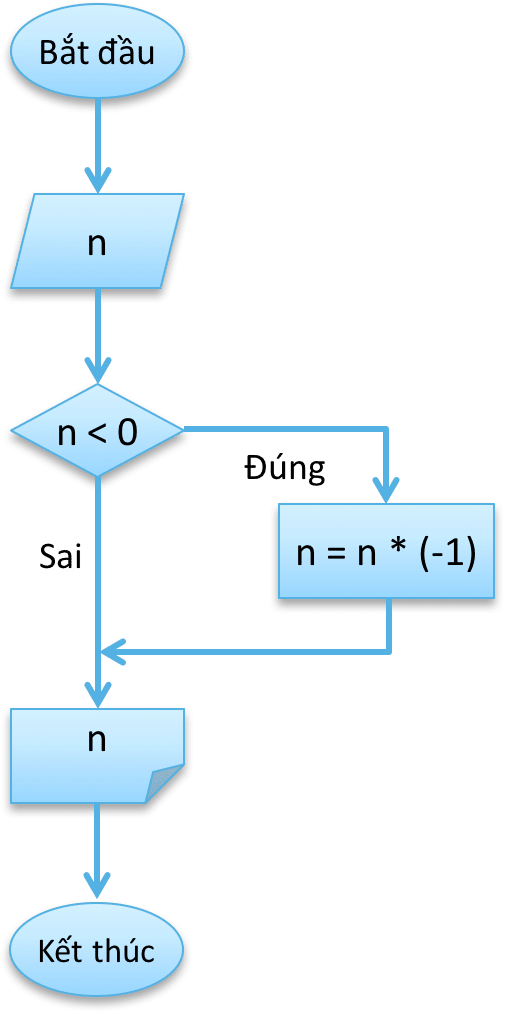
Trong sơ đồ khối này, nhập số nguyên n vào thì giá trị n xuất ra màn hình là:
7.
MULTIPLE CHOICE QUESTION
10 sec • 1 pt

Theo các bạn, sơ đồ mạch điện này mô tả cho hệ thống tự động hóa nào?
Access all questions and much more by creating a free account
Create resources
Host any resource
Get auto-graded reports

Continue with Google

Continue with Email

Continue with Classlink

Continue with Clever
or continue with

Microsoft
%20(1).png)
Apple
Others
Already have an account?

