
Quiz de Recuperação - 1° Ano

Quiz
•
Mathematics
•
9th - 12th Grade
•
Medium
JHONATAN CAMARGO
Used 4+ times
FREE Resource
20 questions
Show all answers
1.
MULTIPLE CHOICE QUESTION
5 mins • 1 pt
Qual das matrizes representa esse sistema?
2.
MULTIPLE CHOICE QUESTION
5 mins • 1 pt
Qual das matrizes abaixo representa esse sistema?
3.
MULTIPLE CHOICE QUESTION
5 mins • 1 pt
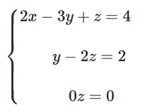
Resolva o seguinte sistema por escalonamento e diga qual é sua solução:
S=(1,2,0)
S=(1,2,1)
S=(1,0,-2)
S=(-2,-3,1)
4.
MULTIPLE CHOICE QUESTION
5 mins • 1 pt
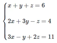
Resolva o seguinte sistema por escalonamento e diga qual éo valor de (xyz)²:
25
36
49
64
5.
MULTIPLE CHOICE QUESTION
5 mins • 1 pt
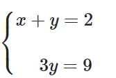
Resolva o seguinte sistema por escalonamento e diga qual é sua solução:
S=(-5,-3,1)
S=(1,3,5)
S=(3,5,1)
S=(5,3,1)
6.
MULTIPLE CHOICE QUESTION
5 mins • 1 pt
Resolva o seguinte sistema por escalonamento e diga qual é o valor de (xyz)²:
36
-36
49
-49
7.
MULTIPLE CHOICE QUESTION
5 mins • 1 pt
Resolva o seguinte sistema por escalonamento e diga qual é sua solução:
S=(1,3,2)
S=(-2,-3,1)
S=(2,1,3)
S=(2,3,1)
Create a free account and access millions of resources
Similar Resources on Wayground
17 questions
Sistemas de Ecuaciones 3x3, 3x2, 2x3

Quiz
•
11th Grade
20 questions
AULA GAMEFICADA - AS 4 OPERAÇÕES

Quiz
•
12th Grade
15 questions
Operações Matemáticas Essenciais

Quiz
•
9th Grade
20 questions
Desafios das Quatro Operações

Quiz
•
7th Grade - University
16 questions
Álgebra Linear/Análise Combinatória

Quiz
•
11th Grade - University
15 questions
Avaliação de Matemática - Números Decimais e Frações

Quiz
•
7th Grade - University
15 questions
Métodos de Resolución de Ecuaciones

Quiz
•
6th Grade - University
15 questions
Desafios com Inequações Lineares

Quiz
•
11th Grade
Popular Resources on Wayground
10 questions
Lab Safety Procedures and Guidelines

Interactive video
•
6th - 10th Grade
10 questions
Nouns, nouns, nouns

Quiz
•
3rd Grade
10 questions
9/11 Experience and Reflections

Interactive video
•
10th - 12th Grade
25 questions
Multiplication Facts

Quiz
•
5th Grade
11 questions
All about me

Quiz
•
Professional Development
22 questions
Adding Integers

Quiz
•
6th Grade
15 questions
Subtracting Integers

Quiz
•
7th Grade
9 questions
Tips & Tricks

Lesson
•
6th - 8th Grade
Discover more resources for Mathematics
12 questions
Graphing Inequalities on a Number Line

Quiz
•
9th Grade
15 questions
Two Step Equations

Quiz
•
9th Grade
16 questions
Segment Addition Postulate

Quiz
•
10th Grade
12 questions
Absolute Value Equations

Quiz
•
9th Grade
20 questions
Parallel Lines and Transversals Independent Practice

Quiz
•
10th Grade
15 questions
Combine Like Terms and Distributive Property

Quiz
•
8th - 9th Grade
16 questions
Parallel Lines cut by a Transversal

Quiz
•
10th Grade
20 questions
Solving Multi-Step Equations

Quiz
•
10th Grade