
Trắc nghiệm giữa kỳ I
Quiz
•
Mathematics
•
1st Grade
•
Practice Problem
•
Hard
Anh Nguyen
Used 1+ times
FREE Resource
Enhance your content in a minute
24 questions
Show all answers
1.
MULTIPLE CHOICE QUESTION
30 sec • 1 pt
Phương trình nào sau đây là phương trình bậc nhất hai ẩn?
2.
MULTIPLE CHOICE QUESTION
1 min • 1 pt
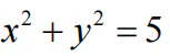
Hình ảnh dưới đây minh họa tập nghiệm của phương trình nào?
3.
MULTIPLE CHOICE QUESTION
1 min • 1 pt
Đường thẳng đi qua hai điểm A(-2; 0); B(-1; 2) là?
4.
MULTIPLE CHOICE QUESTION
2 mins • 1 pt
Nghiệm của phương trình này là?
5.
MULTIPLE CHOICE QUESTION
30 sec • 1 pt
Câu 5: Nghiệm của phương trình này là gì?
6.
MULTIPLE CHOICE QUESTION
1 min • 1 pt
Câu 6: Nếu a < b và c < 0 thì khẳng định nào sau đây là đúng?
7.
MULTIPLE CHOICE QUESTION
30 sec • 1 pt
Access all questions and much more by creating a free account
Create resources
Host any resource
Get auto-graded reports

Continue with Google

Continue with Email

Continue with Classlink

Continue with Clever
or continue with

Microsoft
%20(1).png)
Apple
Others
Already have an account?
Similar Resources on Wayground
20 questions
ÔN TẬP HÌNH HỌC
Quiz
•
1st - 5th Grade
20 questions
l7K1DSB6.7. LŨY THỪA CỦA MỘT SỐ HỮU TỈ
Quiz
•
1st Grade
20 questions
Ôn tập cuối năm-Toán 1-Đề 1
Quiz
•
1st Grade
20 questions
Hình học
Quiz
•
1st Grade - University
20 questions
ôn tập kiểm tra giữa kỳ tin 8
Quiz
•
KG - 8th Grade
20 questions
Nhanh như chớp nhí 4
Quiz
•
1st Grade
20 questions
AI THÔNG MINH HƠN HỌC SINH LỚP 2
Quiz
•
1st - 3rd Grade
20 questions
Minigame Online " Khái niệm Vecto"
Quiz
•
1st Grade
Popular Resources on Wayground
15 questions
Fractions on a Number Line
Quiz
•
3rd Grade
20 questions
Equivalent Fractions
Quiz
•
3rd Grade
25 questions
Multiplication Facts
Quiz
•
5th Grade
54 questions
Analyzing Line Graphs & Tables
Quiz
•
4th Grade
22 questions
fractions
Quiz
•
3rd Grade
20 questions
Main Idea and Details
Quiz
•
5th Grade
20 questions
Context Clues
Quiz
•
6th Grade
15 questions
Equivalent Fractions
Quiz
•
4th Grade
Discover more resources for Mathematics
20 questions
Telling Time to the Hour and Half hour
Quiz
•
1st Grade
10 questions
Exploring Rosa Parks and Black History Month
Interactive video
•
1st - 5th Grade
20 questions
Place Value
Quiz
•
KG - 3rd Grade
10 questions
Exploring the American Revolution
Interactive video
•
1st - 5th Grade
14 questions
Coin ID and Counting Coins
Quiz
•
1st Grade
20 questions
Identify Coins and Coin Value
Quiz
•
1st Grade
10 questions
Exploring Whole by Fraction Multiplication Models
Interactive video
•
1st - 5th Grade
24 questions
Addition
Quiz
•
1st Grade
