
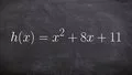
Use the formula to find the vertex
Interactive Video
•
Mathematics
•
11th Grade - University
•
Practice Problem
•
Hard
Wayground Content
FREE Resource
Read more
5 questions
Show all answers
1.
MULTIPLE CHOICE QUESTION
30 sec • 1 pt
What is an alternative method to completing the square for finding the vertex of a quadratic function?
Factoring the quadratic
Graphing the function
Using the vertex formula
Using the quadratic formula
2.
MULTIPLE CHOICE QUESTION
30 sec • 1 pt
In the vertex formula, what does the expression -B/2A represent?
The y-coordinate of the vertex
The x-coordinate of the vertex
The axis of symmetry
The maximum value of the function
3.
MULTIPLE CHOICE QUESTION
30 sec • 1 pt
What is the first step in applying the vertex formula to find the vertex of a quadratic function?
Calculate the y-coordinate using the formula
Find the opposite of B divided by 2A
Determine the value of C
Graph the quadratic function
4.
MULTIPLE CHOICE QUESTION
30 sec • 1 pt
In the example provided, what is the x-coordinate of the vertex?
5
-5
-4
4
5.
MULTIPLE CHOICE QUESTION
30 sec • 1 pt
What is the final vertex of the quadratic function in the example?
(4, 5)
(4, -5)
(-4, 5)
(-4, -5)
Access all questions and much more by creating a free account
Create resources
Host any resource
Get auto-graded reports

Continue with Google

Continue with Email

Continue with Classlink

Continue with Clever
or continue with

Microsoft
%20(1).png)
Apple
Others
Already have an account?