
Evaluate the Value of Composition of Two Functions
Interactive Video
•
Mathematics
•
11th Grade - University
•
Hard
Wayground Content
FREE Resource
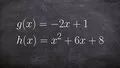
The video tutorial explains how to solve a composite function problem involving two functions, G(x) and H(x). The instructor first introduces the functions and then demonstrates how to calculate H(3) by substituting the value into the function H(x). After finding H(3), the instructor uses this result to solve for G(H(3)) by substituting the value of H(3) into the function G(x). The tutorial emphasizes the step-by-step process of solving composite functions and highlights the importance of substitution in finding the correct solution.
Read more
1 questions
Show all answers
1.
OPEN ENDED QUESTION
3 mins • 1 pt
What new insight or understanding did you gain from this video?
Evaluate responses using AI:
OFF
Access all questions and much more by creating a free account
Create resources
Host any resource
Get auto-graded reports

Continue with Google

Continue with Email

Continue with Classlink

Continue with Clever
or continue with

Microsoft
%20(1).png)
Apple
Others
Already have an account?