Factoring Assignment
Flashcard
•
Mathematics
•
9th - 12th Grade
•
Practice Problem
•
Hard
Standards-aligned
Wayground Content
FREE Resource
Student preview

15 questions
Show all answers
1.
FLASHCARD QUESTION
Front
What is factoring in algebra?
Back
Factoring is the process of breaking down an expression into a product of simpler expressions, called factors.
2.
FLASHCARD QUESTION
Front
What is the purpose of factoring quadratic expressions?
Back
Factoring quadratic expressions helps to simplify equations, solve for roots, and analyze the behavior of quadratic functions.
3.
FLASHCARD QUESTION
Front
What is a quadratic expression?
Back
A quadratic expression is a polynomial of degree 2, typically in the form ax² + bx + c.
4.
FLASHCARD QUESTION
Front
What are the steps to factor a quadratic expression?
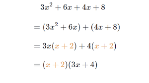
Back
1. Identify a, b, and c. 2. Find two numbers that multiply to ac and add to b. 3. Rewrite the expression using these numbers. 4. Factor by grouping.
5.
FLASHCARD QUESTION
Front
Factor the expression: k² - 2k - 24
Back
(k + 4)(k - 6)
6.
FLASHCARD QUESTION
Front
Factor the expression: 2x² + 22x + 60
Back
2(x + 5)(x + 6)
7.
FLASHCARD QUESTION
Front
What is the difference between a prime polynomial and a composite polynomial?
Back
A prime polynomial cannot be factored into simpler polynomials over the integers, while a composite polynomial can.
Access all questions and much more by creating a free account
Create resources
Host any resource
Get auto-graded reports

Continue with Google

Continue with Email

Continue with Classlink

Continue with Clever
or continue with

Microsoft
%20(1).png)
Apple
Others
Already have an account?
Similar Resources on Wayground
12 questions
Organic 2 Exam 4 Review
Flashcard
•
KG
10 questions
Secondary storage
Flashcard
•
9th - 11th Grade
8 questions
CHILDREN 2 (1ST CLASS)
Flashcard
•
KG
11 questions
7517 05 Structured Programming
Flashcard
•
10th Grade - University
12 questions
Descriptive adjectives for Home and Furniture
Flashcard
•
10th Grade - University
15 questions
7517 01 Programming Basics
Flashcard
•
10th Grade - University
11 questions
3D Design Vocabulary Flashcard
Flashcard
•
10th Grade
12 questions
WORD FORMATION - NOUN/VERB/ADJECTIVE
Flashcard
•
10th Grade
Popular Resources on Wayground
8 questions
2 Step Word Problems
Quiz
•
KG - University
20 questions
Comparing Fractions
Quiz
•
4th Grade
15 questions
Fractions on a Number Line
Quiz
•
3rd Grade
20 questions
Equivalent Fractions
Quiz
•
3rd Grade
25 questions
Multiplication Facts
Quiz
•
5th Grade
10 questions
Latin Bases claus(clois,clos, clud, clus) and ped
Quiz
•
6th - 8th Grade
22 questions
fractions
Quiz
•
3rd Grade
7 questions
The Story of Books
Quiz
•
6th - 8th Grade
Discover more resources for Mathematics
8 questions
2 Step Word Problems
Quiz
•
KG - University
20 questions
Graphing Inequalities on a Number Line
Quiz
•
6th - 9th Grade
10 questions
Finding Area and Circumference of a Circle
Interactive video
•
6th - 10th Grade
12 questions
Exponential Growth and Decay
Quiz
•
9th Grade
13 questions
Model Exponential Growth and Decay Scenarios
Quiz
•
9th - 12th Grade
15 questions
Combine Like Terms and Distributive Property
Quiz
•
8th - 9th Grade
15 questions
TSI Math Practice Questions
Quiz
•
8th - 12th Grade
20 questions
Systems of Equations - Substitution
Quiz
•
9th Grade