Unit 6 AAC Test Review
Flashcard
•
Mathematics
•
6th Grade
•
Practice Problem
•
Hard
Wayground Content
FREE Resource
Student preview

15 questions
Show all answers
1.
FLASHCARD QUESTION
Front
Combine like Terms: 3x + 9y + 2x
Back
5x + 9y
2.
FLASHCARD QUESTION
Front
Are the expressions x – (5 – 2) and (x – 5) - 2 equivalent?
Back
False
3.
FLASHCARD QUESTION
Front
State whether the expressions are equivalent: 13z + 5 + 2z and 5(3z + 1)
Back
YES
4.
FLASHCARD QUESTION
Front
Simplify: -4(k - 7)
Back
-4k + 28
5.
FLASHCARD QUESTION
Front
Which expression is equivalent to (9x + 3) • 4?
Back
36x + 12
6.
FLASHCARD QUESTION
Front
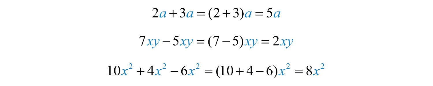
What are like terms?
Back
Terms that have the same variable raised to the same power.
7.
FLASHCARD QUESTION
Front
What is the distributive property?
Back
a(b + c) = ab + ac
Create a free account and access millions of resources
Create resources
Host any resource
Get auto-graded reports

Continue with Google

Continue with Email

Continue with Classlink

Continue with Clever
or continue with

Microsoft
%20(1).png)
Apple
Others
By signing up, you agree to our Terms of Service & Privacy Policy
Already have an account?
Similar Resources on Wayground
13 questions
Quadrilateral Properties
Flashcard
•
5th Grade
13 questions
Geography Review 6th 2025
Flashcard
•
6th Grade
14 questions
Present Perfect with For and Since
Flashcard
•
6th Grade
14 questions
Economics and Business pages 1-2
Flashcard
•
7th Grade
9 questions
Body Parts and Adjectives for Description
Flashcard
•
6th - 8th Grade
14 questions
Жақшаларды ашу
Flashcard
•
6th Grade
12 questions
2025 WPN M7: HBL 1: Rounding Off (1) flashcard
Flashcard
•
4th Grade
Popular Resources on Wayground
10 questions
Honoring the Significance of Veterans Day
Interactive video
•
6th - 10th Grade
9 questions
FOREST Community of Caring
Lesson
•
1st - 5th Grade
10 questions
Exploring Veterans Day: Facts and Celebrations for Kids
Interactive video
•
6th - 10th Grade
19 questions
Veterans Day
Quiz
•
5th Grade
14 questions
General Technology Use Quiz
Quiz
•
8th Grade
25 questions
Multiplication Facts
Quiz
•
5th Grade
15 questions
Circuits, Light Energy, and Forces
Quiz
•
5th Grade
19 questions
Thanksgiving Trivia
Quiz
•
6th Grade
Discover more resources for Mathematics
20 questions
Percent of a Number
Quiz
•
6th Grade
21 questions
Convert Fractions, Decimals, and Percents
Quiz
•
6th Grade
20 questions
One step Equations
Quiz
•
6th Grade
20 questions
Unit Rate
Quiz
•
6th Grade
20 questions
Adding and Subtracting Integers
Quiz
•
6th Grade
15 questions
5.4 The Distributive Property
Quiz
•
6th Grade
15 questions
Equivalent Ratios
Quiz
•
6th Grade
20 questions
Solving Proportions
Quiz
•
5th - 7th Grade