3.4-3.5 Flashcard Review
Flashcard
•
Mathematics
•
11th Grade
•
Practice Problem
•
Hard
+6
Standards-aligned
Wayground Content
FREE Resource
Student preview

15 questions
Show all answers
1.
FLASHCARD QUESTION
Front
Back
3
Tags
CCSS.HSF-BF.A.1C
2.
FLASHCARD QUESTION
Front
Back
Tags
CCSS.HSF-BF.A.1B
3.
FLASHCARD QUESTION
Front
What is the definition of a function?
Back
A function is a relation that assigns exactly one output for each input.
Tags
CCSS.8.F.A.1
4.
FLASHCARD QUESTION
Front
What does it mean for a function to be linear?
Back
A linear function is a function that can be graphically represented in the Cartesian plane as a straight line.
Tags
CCSS.8.F.B.4
CCSS.HSF.LE.A.2
5.
FLASHCARD QUESTION
Front
What is the slope-intercept form of a linear equation?
Back
Tags
CCSS.8.EE.B.6
CCSS.8.F.A.3
6.
FLASHCARD QUESTION
Front
How do you find the y-intercept of a function?
Back
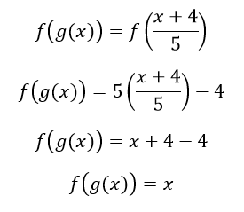
7.
FLASHCARD QUESTION
Front
What is the composition of functions?
Back
Tags
CCSS.HSF-BF.A.1C
Create a free account and access millions of resources
Create resources
Host any resource
Get auto-graded reports

Continue with Google

Continue with Email

Continue with Classlink

Continue with Clever
or continue with

Microsoft
%20(1).png)
Apple
Others
Already have an account?
Similar Resources on Wayground
15 questions
Relative Clauses
Flashcard
•
12th Grade
9 questions
El genéro dramático
Flashcard
•
12th Grade - University
7 questions
International Yoga Day Quiz
Flashcard
•
KG - University
8 questions
Flashcard Set on Viruses
Flashcard
•
12th Grade - University
15 questions
Clothing and Accessories Vocabulary
Flashcard
•
KG - University
10 questions
Novice Lesson 2 Practice Words
Flashcard
•
KG
11 questions
Sector Bancario
Flashcard
•
12th Grade
Popular Resources on Wayground
5 questions
This is not a...winter edition (Drawing game)
Quiz
•
1st - 5th Grade
15 questions
4:3 Model Multiplication of Decimals by Whole Numbers
Quiz
•
5th Grade
25 questions
Multiplication Facts
Quiz
•
5th Grade
10 questions
The Best Christmas Pageant Ever Chapters 1 & 2
Quiz
•
4th Grade
12 questions
Unit 4 Review Day
Quiz
•
3rd Grade
10 questions
Identify Iconic Christmas Movie Scenes
Interactive video
•
6th - 10th Grade
20 questions
Christmas Trivia
Quiz
•
6th - 8th Grade
18 questions
Kids Christmas Trivia
Quiz
•
KG - 5th Grade
Discover more resources for Mathematics
11 questions
Solve Systems of Equations and Inequalities
Quiz
•
9th - 12th Grade
17 questions
Identify Linear and Nonlinear Functions
Quiz
•
8th - 12th Grade
15 questions
Identify Triangle Congruence Postulates
Quiz
•
9th - 12th Grade
12 questions
Combine Like Terms
Quiz
•
6th - 12th Grade
20 questions
Multi-Step Equations and Variables on Both Sides
Quiz
•
9th - 12th Grade
20 questions
Multiplication and Division Facts
Quiz
•
3rd - 12th Grade
30 questions
Unit 1 Final Review
Quiz
•
9th - 12th Grade
17 questions
Triangle Congruence Theorems
Quiz
•
9th - 11th Grade