
NYS ALGEBRA 1 REGENTS JANUARY 2024
Presentation
•
Mathematics
•
9th - 12th Grade
•
Practice Problem
•
Medium
•
CCSS
HSA.APR.A.1, HSF.IF.A.2, 6.NS.B.3
+20
Standards-aligned
Asher Katz
Used 30+ times
FREE Resource
1 Slide • 37 Questions
1
2
Multiple Choice
3
Multiple Choice
4
Multiple Choice
5
Multiple Choice
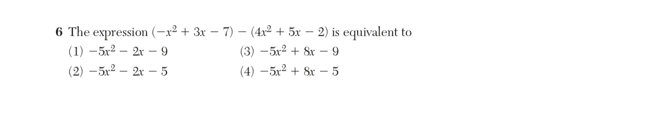
6
Multiple Choice
7
Multiple Choice
8
Multiple Choice
9
Multiple Choice
10
Multiple Choice
11
Multiple Choice
12
Multiple Choice
13
Multiple Choice
14
Multiple Choice
15
Multiple Choice
16
Multiple Choice
17
Multiple Choice
18
Multiple Choice
19
Multiple Choice
20
Multiple Choice
21
Multiple Choice
22
Multiple Choice
23
Multiple Choice
24
Multiple Choice
25
Multiple Choice
26
Draw
27
Open Ended
28
Open Ended
29
Draw
30
Draw
31
Open Ended
32
Draw
33
Draw
34
Draw
35
Draw
36
Draw
37
Draw
38
Draw
Show answer
Auto Play
Slide 1 / 38
SLIDE