
Week 16 Algebra X Lesson
Presentation
•
Mathematics
•
Vocational training
•
Medium
Tracey Bates
Used 1+ times
FREE Resource
16 Slides • 5 Questions
1
Algebra - Brackets
2
today
Objectives
Recap algebra - answer the questions in time given
Expand Single Brackets
Expand Double Brackets
Factorise
3
Math Response
Answer the question
4
Math Response
What is a x a x a?
5
Math Response
What is the answer?
6
Math Response
Solve 5x = 90
7
Math Response
Solve 3y + 4 = 22
8
Algebra -
Single Brackets
9
Algebra -
Single Brackets
10
Algebra -
Single Brackets
11
Algebra -
Single Brackets
12
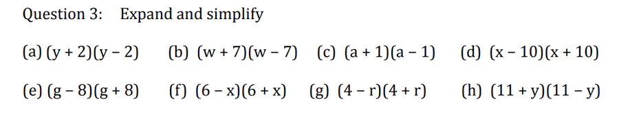
Algebra -
Double Brackets
Expanding
13
Algebra -
Double Brackets
Expanding
14
Algebra -
Double Brackets
15
Algebra -
Double Brackets
16
Algebra -
Factorising
17
Algebra -
Factorising
18
Algebra -
Factorising
19
Algebra -
Factorising Quadratics
20
Algebra -
Factorising Quadratics
21
Algebra -
Factorising Quadratics
Algebra - Brackets
Show answer
Auto Play
Slide 1 / 21
SLIDE
Similar Resources on Wayground
17 questions
Teaching Mathematics to the Adolescent Brain
Presentation
•
Professional Development
17 questions
Notting Hill - Questions & Apologies
Presentation
•
Professional Development
18 questions
Access Training - Internet Safety Training
Presentation
•
Professional Development
14 questions
Refuerzo PO - Sesión 5
Presentation
•
Professional Development
18 questions
Science
Presentation
•
KG - Professional Dev...
17 questions
Unit 315 Session 8 Backflow protection in plumbing systems
Presentation
•
Professional Development
14 questions
Review Research Methods
Presentation
•
Professional Development
Popular Resources on Wayground
20 questions
STAAR Review Quiz #3
Quiz
•
8th Grade
20 questions
Equivalent Fractions
Quiz
•
3rd Grade
6 questions
Marshmallow Farm Quiz
Quiz
•
2nd - 5th Grade
20 questions
Main Idea and Details
Quiz
•
5th Grade
20 questions
Context Clues
Quiz
•
6th Grade
20 questions
Inferences
Quiz
•
4th Grade
19 questions
Classifying Quadrilaterals
Quiz
•
3rd Grade
12 questions
What makes Nebraska's government unique?
Quiz
•
4th - 5th Grade