
Retroalimentación Evaluación Cadena trófica
Authored by Katherine Paola
Science
6th Grade
Used 5+ times

AI Actions
Add similar questions
Adjust reading levels
Convert to real-world scenario
Translate activity
More...
Content View
Student View
5 questions
Show all answers
1.
MULTIPLE CHOICE QUESTION
30 sec • 1 pt
1. De acuerdo al siguiente esquema de una cadena alimentaria:
Hierba → Ratón → Culebra → Aguilucho
El consumidor primario se alimenta de:
A) hierbas.
B) ratones.
C) culebras.
D) aguiluchos.
2.
MULTIPLE CHOICE QUESTION
30 sec • 1 pt
2. "Se alimentan de animales y plantas. Un ejemplo de ellos son la gallina, el cerdo y el oso pardo" La definición anterior corresponde a:
A. Herbívoros.
B. Omnívoros.
C. Carroñeros.
D. Descomponedores.
3.
MULTIPLE CHOICE QUESTION
30 sec • 1 pt
3. En las cadenas tróficas existe un traspaso de energía entre sus diferentes niveles. ¿Qué organismo de la cadena es el encargado de incorporar la energía solar al ecosistema?
A. Consumidores primarios.
B. Consumidores secundarios.
C. Productores.
D. Descomponedores.
4.
MULTIPLE CHOICE QUESTION
30 sec • 1 pt
4. ¿Qué sucedería en una cadena trófica si disminuyera el número de consumidores primarios?
A. Tendría un efecto en el número de consumidores secundarios y terciarios.
B. Los productores producirían menos energía.
C. Las plantas no podrían hacer su fotosíntesis.
D. Los descomponedores no podrían nutrir la tierra.
5.
MULTIPLE CHOICE QUESTION
30 sec • 1 pt
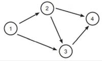
Observa la siguiente trama alimentaria, en la que los seres vivos están representados por números, y responde.
¿Cuál de los organismos representados corresponde a un omnívoro?
A) 1
B) 2
C) 3
D) 4
Access all questions and much more by creating a free account
Create resources
Host any resource
Get auto-graded reports

Continue with Google

Continue with Email

Continue with Classlink

Continue with Clever
or continue with

Microsoft
%20(1).png)
Apple
Others
Already have an account?