
Estrutura de Dados - Grafo
Authored by WARLEY JUNIOR
Computers
University
Used 4+ times

AI Actions
Add similar questions
Adjust reading levels
Convert to real-world scenario
Translate activity
More...
Content View
Student View
9 questions
Show all answers
1.
MULTIPLE CHOICE QUESTION
1 min • 1 pt
Um grafo orientado é quando existe uma ligação explícita entre os vértices. Por exemplo: A pode chegar até B, porém, B pode não chegar até A
Verdadeiro
Falso
2.
MULTIPLE CHOICE QUESTION
1 min • 1 pt
Em um grafo ponderado existem pesos nas arestas
Verdadeiro
Falso
3.
MULTIPLE CHOICE QUESTION
1 min • 1 pt
A matriz de adjacência é utilizada para representar o grafo, indicando as conexões entre os vértices
Verdadeiro
Falso
4.
MULTIPLE CHOICE QUESTION
1 min • 1 pt
A busca em profundidade tem o objetivo de visitar todos os vértices de um grafo, utilizando uma fila para auxiliar no processo de percorrimento dos vértices
Verdadeiro
Falso
5.
MULTIPLE CHOICE QUESTION
1 min • 1 pt
A busca em largura tem o objetivo de visitar todos os vértices de um grafo, utilizando uma pilha para auxiliar no processo de percorrimento dos vértices
Verdadeira
Falsa
6.
MULTIPLE CHOICE QUESTION
1 min • 1 pt
Na versão de decisão do problema do caixeiro-viajante, que utiliza Grafos para encontrar soluções, é correto afirmar que há
Um grafo não dirigido completo com peso inteiro negativo em cada aresta
Um grafo dirigido completo com peso inteiro negativo em cada aresta
Um grafo não dirigido completo com peso inteiro positivo em cada aresta
Um grafo dirigido completo com peso inteiro positivo em cada aresta
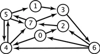
7.
MULTIPLE CHOICE QUESTION
1 min • 1 pt
O grafo é simples?
Verdade
Falso
Access all questions and much more by creating a free account
Create resources
Host any resource
Get auto-graded reports

Continue with Google

Continue with Email

Continue with Classlink

Continue with Clever
or continue with

Microsoft
%20(1).png)
Apple
Others
Already have an account?