
AP Precalculus Unit 1 Part C Passwater's MCQ Exam Review
Authored by Stefanie Frey
Mathematics
12th Grade
CCSS covered
Used 20+ times

AI Actions
Add similar questions
Adjust reading levels
Convert to real-world scenario
Translate activity
More...
About
This comprehensive quiz covers advanced rational functions and function transformations, two critical topics in AP Precalculus that bridge algebraic manipulation with higher-level calculus concepts. Students working through these problems need a solid understanding of limits, asymptotes, zeros, holes, polynomial division, the binomial theorem, and function transformations. The material requires students to analyze rational functions by factoring numerators and denominators, identifying removable and non-removable discontinuities, determining vertical and horizontal asymptotes, and applying polynomial long division to find slant asymptotes. Additionally, students must master function transformations including translations, dilations, and reflections, understanding how algebraic changes to function notation correspond to geometric changes in graphs. The complexity and depth of these concepts place this material firmly at the 12th grade level, requiring sophisticated algebraic reasoning and the ability to connect multiple mathematical representations. Created by Stefanie Frey, a Mathematics teacher in US who teaches grade 12. This quiz serves as an excellent comprehensive review tool for AP Precalculus Unit 1, specifically designed for exam preparation with multiple-choice questions that mirror the AP format. Teachers can use this assessment for end-of-unit review, homework assignments, or formative assessment to identify areas where students need additional support before moving to calculus topics. The quiz effectively reinforces critical thinking skills needed for rational function analysis and transformation applications, making it ideal for both individual practice and classroom discussion. The content aligns with Common Core standards F-IF.7, F-BF.3, and A-APR.6, which address graphing rational functions, identifying key features, transforming functions, and performing polynomial operations that are essential for success in advanced mathematics courses.
Content View
Student View
53 questions
Show all answers
1.
MULTIPLE CHOICE QUESTION
30 sec • 1 pt
The rational function k is given by k(x) = (x - 2)/(x + 3). Which of the following limit statements about k is correct?
(A)
(B)
(C)
(D)
Tags
CCSS.HSA.APR.D.7
2.
MULTIPLE CHOICE QUESTION
30 sec • 1 pt
The rational function r is given by r(x) = (x + 1)/(x - 4). Which of the following limit statements about r is correct?
(A)
(B)
(C)
(D)
Tags
CCSS.HSA.APR.D.7
3.
MULTIPLE CHOICE QUESTION
30 sec • 1 pt
The rational function f is given by f(x) = (x - 5)/(x - 3). Which of the following pairs of limit statements about f is correct?
(A)
(B)
(C)
(D)
Tags
CCSS.HSF-IF.C.7D
4.
MULTIPLE CHOICE QUESTION
30 sec • 1 pt
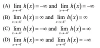
The rational function h is given by h(x) = (x - 6)/((x + 4)^2). Which of the following pairs of limit statements about h is correct?
(A)
(B)
(C)
(D)
Tags
CCSS.HSA.APR.D.7
CCSS.HSA.SSE.A.1
5.
MULTIPLE CHOICE QUESTION
30 sec • 1 pt
The rational function r is given by r(x) = (x-2)(x+4)/(x+2)(x+4). Which of the following statements about r is true?
(A) Input values of r sufficiently close to -4 correspond to output values arbitrarily close to 0.
(B) Input values of r sufficiently close to -4 correspond to output values arbitrarily close to -3.
(C) Input values of r sufficiently close to -4 correspond to output values arbitrarily close to 3.
(D) Input values of r sufficiently close to -4 correspond to output values the decrease without bound.
Tags
CCSS.HSF-IF.C.7D
6.
MULTIPLE CHOICE QUESTION
30 sec • 1 pt
The rational function f is given by f(x) = -2(x+1)(x-2)/(x-2)(x+10). Which of the following statements about f is true?
(A) Input values of f sufficiently close to 2 correspond to output values arbitrarily close to 0.
(B) Input values of f sufficiently close to 2 correspond to output values arbitrarily close to -1/2.
(C) Input values of f sufficiently close to 2 correspond to output values arbitrarily close to 1/4.
(D) Input values of f sufficiently close to 2 correspond to output values the decrease without bound.
Tags
CCSS.HSF-IF.C.7D
7.
MULTIPLE CHOICE QUESTION
30 sec • 1 pt
In the xy-plane, the graph of a rational function m has a hole at x = 1. Which of the following could define m(x)?
(A) m(x) = (x-1)/(x-4)
(B) m(x) = (x-1)/(x-1)^2
(C) m(x) = (x+4)/(x-1)
(D) m(x) = (x-1)^2/(x-4)(x-1)
Tags
CCSS.HSF-IF.C.7D
Access all questions and much more by creating a free account
Create resources
Host any resource
Get auto-graded reports

Continue with Google

Continue with Email

Continue with Classlink

Continue with Clever
or continue with

Microsoft
%20(1).png)
Apple
Others
Already have an account?