
Illustrative Math - Algebra 1 - Unit 2- Lesson 17
Authored by Wayground Content
Algebra I, Algebra II, Geometry, Math
8 covered

AI Actions
Add similar questions
Adjust reading levels
Convert to real-world scenario
Translate activity
More...
Content View
Student View
5 questions
Show all answers
1.
OPEN ENDED QUESTION
3 mins • 1 pt

How many solutions does this system of equations have?
Evaluate responses using AI:
OFF
Tags
8.EE.8.a
8.EE.8.b
A.CED.3
8.EE.8.c
A.REI.6
A.CED.4
2.
MULTIPLE SELECT QUESTION
45 sec • 1 pt
Select all systems of equations that have no solutions.
Tags
8.EE.8.a
8.EE.8.b
A.CED.3
8.EE.8.c
A.REI.6
A.CED.4
3.
MULTIPLE SELECT QUESTION
45 sec • 1 pt
Select all the dot plots that appear to contain outliers.
Tags
8.EE.8.a
8.EE.8.b
A.CED.3
8.EE.8.c
A.REI.6
A.CED.4
4.
OPEN ENDED QUESTION
3 mins • 1 pt

Here is a system of equations: Would you rather use subtraction or addition to solve the system? Explain your reasoning.
Evaluate responses using AI:
OFF
Tags
8.EE.8.a
8.EE.8.b
A.CED.3
8.EE.8.c
A.REI.6
A.CED.4
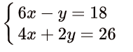
5.
MULTIPLE SELECT QUESTION
45 sec • 1 pt

Here is a system of linear equations: Select all the steps that would help to eliminate a variable and enable solving.
Tags
8.EE.8.a
8.EE.8.b
A.CED.3
8.EE.8.c
A.REI.6
A.CED.4
Access all questions and much more by creating a free account
Create resources
Host any resource
Get auto-graded reports

Continue with Google

Continue with Email

Continue with Classlink

Continue with Clever
or continue with

Microsoft
%20(1).png)
Apple
Others
Already have an account?