
Формулы производных элементарных функций
Authored by Katerina Kostina
Mathematics
11th Grade
Used 11+ times

AI Actions
Add similar questions
Adjust reading levels
Convert to real-world scenario
Translate activity
More...
Content View
Student View
11 questions
Show all answers
1.
MULTIPLE CHOICE QUESTION
30 sec • 1 pt
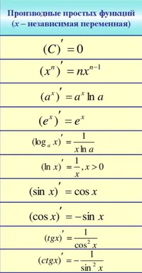
(c)’=
0
c
нельзя найти
x
2.
MULTIPLE CHOICE QUESTION
30 sec • 1 pt
(kx)’=
k
x
kx
0
3.
MULTIPLE CHOICE QUESTION
30 sec • 1 pt
(xp)’=
pxp-1
pxp+1
px
px-1
4.
MULTIPLE CHOICE QUESTION
30 sec • 1 pt
(lnx)'=
lnx
x
ex
5.
MULTIPLE CHOICE QUESTION
1 min • 1 pt
(ax)'=
ax
axlna
lna
6.
MULTIPLE CHOICE QUESTION
1 min • 1 pt
(logax)'=
ax
axlna
lna
7.
MULTIPLE CHOICE QUESTION
30 sec • 1 pt
(sinx)'=
cosx
-cosx
-sinx
sinx
Access all questions and much more by creating a free account
Create resources
Host any resource
Get auto-graded reports

Continue with Google

Continue with Email

Continue with Classlink

Continue with Clever
or continue with

Microsoft
%20(1).png)
Apple
Others
Already have an account?