Search Header Logo

Electrónica - Examen diagnóstico

Authored by ALBERTO ENRIQUEZ

Engineering

University

Used 4+ times

Electrónica - Examen diagnóstico
AI

AI Actions

Add similar questions

Adjust reading levels

Convert to real-world scenario

Translate activity

More...

    Content View

    Student View

20 questions

Show all answers

1.

MULTIPLE CHOICE QUESTION

30 sec • 1 pt

Característica de los sistemas electrónicos que no se encuentra en los eléctricos:

Manipulación de electricidad

Obtención de potencia

Transmite información

Convierte la energía

2.

DRAW QUESTION

3 mins • 1 pt

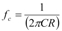
Despeja "C" de la siguiente ecuación:

Media Image

3.

MULTIPLE CHOICE QUESTION

30 sec • 1 pt

Media Image

¿A qué ley se refiere la siguiente fórmula?

Ley de Kirchhoff

Ley de Ohm

Ley de la Termodinámica

Ley de Faraday

4.

MULTIPLE CHOICE QUESTION

30 sec • 1 pt

Media Image

¿Cuál es el nombre del personaje?

Tobby

Pua

Hei Hei

Teka

5.

MULTIPLE CHOICE QUESTION

30 sec • 1 pt

Es un ejemplo de material semiconductor:

Aluminio

Oro

Silicio

Cobre

6.

MULTIPLE CHOICE QUESTION

30 sec • 1 pt

Media Image

¿Qué representa la T en la imagen?

Periodo

Frecuencia

Amplitud

Desfase

7.

MULTIPLE CHOICE QUESTION

30 sec • 1 pt

¿Cuál es el desfase que existe entre la onda seno y la coseno?

45°

90°

275°

180°

Access all questions and much more by creating a free account

Create resources

Host any resource

Get auto-graded reports

Google

Continue with Google

Email

Continue with Email

Classlink

Continue with Classlink

Clever

Continue with Clever

or continue with

Microsoft

Microsoft

Apple

Apple

Others

Others

Already have an account?