
Boys vs. Girls Quiz
Authored by Greg Perenich
Science
10th Grade
NGSS covered
Used 4+ times

AI Actions
Add similar questions
Adjust reading levels
Convert to real-world scenario
Translate activity
More...
Content View
Student View
11 questions
Show all answers
1.
CATEGORIZE QUESTION
3 mins • 1 pt
Properly categorize the following...
Groups:
(a) Atoms (Elements)
,
(b) Molecules (Elements Bonded)
,
(c) Macromolecules (Large moleucles)
,
(d) Organelles (Parts of the Cell)
Cell Membrane
Ozone
Simple Carbohydrates
Nitrous Oxide (N2)
Hydrogen
Sodium Chloride
Chlorine
Cytoplasm
Gold
Chloroplast
Nitrogen
Tags
NGSS.MS-LS1-2
NGSS.MS-PS1-1
2.
FILL IN THE BLANKS QUESTION
1 min • 1 pt
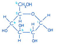
The following image is most likely a molecule of
(a)
Tags
NGSS.MS-LS1-7
NGSS.MS-LS2-3
3.
MATCH QUESTION
1 min • 1 pt
Match the following organelle with its proper function/role in the cell!
Produces energy through respiration
Nucleus
Site of metabolic processes and holds organelles
Cytoplasm
Controls cell activities and stores genetic information
Mitochondria
Site of photosynthesis in plant cells
Chloroplast
Regulates what enters and leaves the cell
Cell Membrane
Tags
NGSS.MS-LS1-2
4.
FILL IN THE BLANKS QUESTION
1 min • 1 pt
THIS is the "law" that states that often, the simplest expanation is the BEST... Be sure to spell it right!
(a)
5.
REORDER QUESTION
1 min • 1 pt
Reorder the following, from smallest to largest
Star
Dwarf Galaxy
Solar System
Planet
Giant Galaxy
6.
FILL IN THE BLANKS QUESTION
1 min • 1 pt
This is one of Mr. PERenIch's favorite colors, a light mix between blue and purple...
(a)
7.
MATCH QUESTION
1 min • 1 pt
Match the following color with its correct gem stone...
Topaz
Red
Ruby
Yellow
Sapphire
Purple
Emerald
Blue
Amethyst
Green
Access all questions and much more by creating a free account
Create resources
Host any resource
Get auto-graded reports

Continue with Google

Continue with Email

Continue with Classlink

Continue with Clever
or continue with

Microsoft
%20(1).png)
Apple
Others
Already have an account?