
Learn how to graph a sideways parabola in conic sections
Interactive Video
•
Mathematics
•
11th Grade - University
•
Practice Problem
•
Hard
Wayground Content
FREE Resource
Read more
5 questions
Show all answers
1.
MULTIPLE CHOICE QUESTION
30 sec • 1 pt
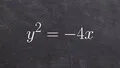
What does it mean when the y-term in a parabola's equation is squared?
The parabola opens upwards or downwards.
The parabola is a hyperbola.
The parabola is a circle.
The parabola opens to the left or right.
2.
MULTIPLE CHOICE QUESTION
30 sec • 1 pt
What is the vertex of the parabola discussed in the video?
(0, 1)
(-1, 0)
(0, 0)
(1, 1)
3.
MULTIPLE CHOICE QUESTION
30 sec • 1 pt
Why does the instructor prefer finding the value of P over memorizing formulas?
Memorizing formulas is more accurate.
Finding P is less reliable.
Finding P is more intuitive and helps understand the concept better.
Memorizing is faster.
4.
MULTIPLE CHOICE QUESTION
30 sec • 1 pt
What is the value of P in the parabola discussed?
4
0
1
-1
5.
MULTIPLE CHOICE QUESTION
30 sec • 1 pt
What is the equation of the directrix for the parabola in the video?
y = 1
x = -1
x = 1
y = -1
Access all questions and much more by creating a free account
Create resources
Host any resource
Get auto-graded reports

Continue with Google

Continue with Email

Continue with Classlink

Continue with Clever
or continue with

Microsoft
%20(1).png)
Apple
Others
Already have an account?