
- Resource Library
- Math
- Sequences And Series
- Arithmetic Series
- Year 12 Flipped Learning Sum Of An Arithmetic Series
Year 12 Flipped Learning - Sum of an Arithmetic series
Presentation
•
Mathematics
•
12th Grade
•
Practice Problem
•
Medium
Standards-aligned
Lesley Thorpe
Used 2+ times
FREE Resource
12 Slides • 14 Questions
1
Year 12 Flipped Learning:
Lesson 2: Sum of an arithmetic series
Deadline for Completion:
End of day on Monday 8th May
Read the information
Watch the videos
Complete the notes in your handbook
Attempt the questions in the quizziz.
If you need more help please ask a maths teacher during a supported study session.
You need to practice using the online textbook.
2
Poll
Rate your progress on this lesson:
3
In Lesson 1 you met an Arithmetic Progression:
A sequence of numbers which is defined as having a start number a and a common difference d.
You should be able to use the formula for the nth term:
Un = a + (n - 1)d
to calculate terms in a sequence or to solve problems in order to find the value of a or d.
4, 11, 18, 25, ......
4
5
Try answering this question yourself,
Then watch Martin explain the answer using the QR code or you can access the video in teams in the P11 channel.
6
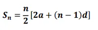
These two formulae are given to you in the formulae booklet.
You don't need to remember them, but remember that you are given them!
7
You will need to learn this "proof" as it is a standard question that is asked frequently in exam papers!
It follows Gauss' solution for pairing numbers...
Have a try yourself - then watch the following video for how it should be done in an exam
8
9
How to learn a proof:
Read the proof or watch the video
Cover the example or stop the video
Without cheating! have a go at writing the proof yourself.
Check your written proof against the example or the video.
The more times you practise this... the better you will remember it!
10
Use the formula.
This questions is just "fancy substitution"!
a = -4
d = 9
n = 35
Check your answer: 5215
11
Use the formula.
This question is just "solving an inequality"!
a = 4
d = 5
n = ?
Sn > 2000
Remember to use a sketch graph and your calculator to help you solve your quadratic inequality!
n > 27.99 or n < -28.59
n is a term in a sequence and is not negative, nor a decimal.
So what is n?
12
a + 8d = 18
nth term formula: Un = a + (n - 1)d
9a + 36d = 72
Remember to use your calculator to help you solve your simultaneous equations!
a = -2 and d = 2.5
13
FINAL EXAMPLE
a = 7
d = -2
SN = -2900
n = ?
N = 58 or N = -50
14
Match
Match the following Arithmetic Sequences to their parameters:
a = 5
d = -4
a = 5
d = 8
a = -7
d = 8
a = -7
d = 0.5
a = 2.3
d = 0.5
5, 1, -3, -7........
5, 13, 21, 29,.....
-7, 1, 9, 17.....
-7, -6.5, -6, -5.5....
2.3, 2.8, 3.3, 3.8, 4.3...
5, 1, -3, -7........
5, 13, 21, 29,.....
-7, 1, 9, 17.....
-7, -6.5, -6, -5.5....
2.3, 2.8, 3.3, 3.8, 4.3...
15
Multiple Choice
Which is the correct formula for the nth term of an arithmetic sequence?
a + d
a + bx
a + (n - 1)d
a + (n + 1)d
16
Multiple Choice
What is the correct formula for the sum of an arithmetic series
2n(a + (n − 1)d)
2n(a + l)
2n(a + (n + 1)d)
2n(2a + (n − 1)d)
17
Multiple Choice
The first term of an arithmetic sequence is 14. The fourth term is 32. what is the common difference?
6
8
14
4
18
Multiple Choice
How many term of the Arithmetic Series 5 + 8 + 11 ...
will sum to 670?
25
20
15
22
19
Multiple Choice
How many terms in the Arithmetic Series
64 + 62 + 60 + 58 + ....
will sum to a total of 0?
-64
64
46
65
20
Multiple Choice
Find the sum of the first 15 terms of the Arithmetic Series:
2 + 6 + 10 + 14 + .......
423
465
315
450
21
Multiple Choice
Find the sum of the first 40 terms of the Arithmetic Series:
30 + 27 + 24 + 21 + ......
-1140
3540
-2940
1540
22
Multiple Choice
Find the sum of the Arithmetic Series:
5 + 7 + 9 + ............ + 75
4140
1040
1440
1140
23
Multiple Choice
Find the sum of the Arithmetic Series:
34 + 29 + 24 + ............. + -111
1551
-1515
-1155
1155
24
Multiple Choice
The sum of the first three terms of an Arithmetic Series is 12
If the 20th term is -32, find the first term and the common difference.
a = 4
d = -1.8
a = 6
d = 2
a = 6
d = -2
a = 4
d = -2
25
Fill in the Blanks
Type answer...
26
Poll
Rate your progress on this question:
Year 12 Flipped Learning:
Lesson 2: Sum of an arithmetic series
Deadline for Completion:
End of day on Monday 8th May
Read the information
Watch the videos
Complete the notes in your handbook
Attempt the questions in the quizziz.
If you need more help please ask a maths teacher during a supported study session.
You need to practice using the online textbook.
Show answer
Auto Play
Slide 1 / 26
SLIDE
Similar Resources on Wayground
21 questions
MEDIDAS DE TENDENCIA CENTRAL
Presentation
•
12th Grade
22 questions
Similar Figures, find scale factor and solve for missing sides
Presentation
•
KG
20 questions
CAUSATIVE FORM
Presentation
•
12th Grade
21 questions
RUNG CHUÔNG VÀNG TUẦN 14 MÔN TOÁN 12
Presentation
•
12th Grade
18 questions
Ejercicios de Sucesiones Lineales
Presentation
•
12th Grade
20 questions
4.2 Basic Probability Rules
Presentation
•
12th Grade
18 questions
PPC - 6.0 Right Triangle Trigonometry Lesson
Presentation
•
12th Grade
21 questions
JAWAB TUNTAS SOAL LIMIT FUNGSI DIKETAKHINGGAAN
Presentation
•
12th Grade
Popular Resources on Wayground
20 questions
"What is the question asking??" Grades 3-5
Quiz
•
1st - 5th Grade
20 questions
“What is the question asking??” Grades 6-8
Quiz
•
6th - 8th Grade
10 questions
Fire Safety Quiz
Quiz
•
12th Grade
20 questions
Equivalent Fractions
Quiz
•
3rd Grade
34 questions
STAAR Review 6th - 8th grade Reading Part 1
Quiz
•
6th - 8th Grade
20 questions
“What is the question asking??” English I-II
Quiz
•
9th - 12th Grade
20 questions
Main Idea and Details
Quiz
•
5th Grade
47 questions
8th Grade Reading STAAR Ultimate Review!
Quiz
•
8th Grade
Discover more resources for Mathematics
15 questions
Exponential Growth and Decay Word Problems Practice
Quiz
•
9th - 12th Grade
15 questions
Converting Between Exponential And Logarithmic Form
Quiz
•
9th - 12th Grade
15 questions
Algebra 1 Vocabulary
Quiz
•
9th - 12th Grade
4 questions
Set It Up: Algebra I EOC Review
Quiz
•
9th - 12th Grade
14 questions
Intro solving quads by graphing/factoring
Presentation
•
9th - 12th Grade
17 questions
Intro To Dilations
Quiz
•
8th - 12th Grade
47 questions
CCG Review Day Probability/Counting Procedures
Quiz
•
9th - 12th Grade
20 questions
Height on a Ferris wheel
Quiz
•
9th - 12th Grade