

test
Presentation
•
Education
•
University
•
Practice Problem
•
Hard
Sridevi J
FREE Resource
51 Slides • 2 Questions
1
ANALYSIS OF HVDC
CONVERTERS
UNIT II
www.eeecube.com
www.eeecube.com
2
The pulse number of a converter is defined as the number of pulsations (cycles of
ripple)of direct voltage per cycle of alternating voltage.
The conversion from AC to DC involves switching sequentially different sinusoidal
voltages onto the DC circuit.
The output voltage of the converter consists of a DC component and a ripple whose
frequency is determined by the pulse number.
PULSE NUMBER
www.eeecube.com
www.eeecube.com
3
VALUE AND SWITCHES
A valve can be treated as a (controllable) switch which can be turned on at any
instant, provided the voltage across it is positive.
A diode is an uncontrolled switch which will turn on immediately after the voltage
becomes positive whereas the thyristor switching can be delayed by an angle or
(alpha).
The opening of the switch(both for diode and thyristor) occurs at the current zero
(neglecting the turn-off time).
www.eeecube.com
www.eeecube.com
4
CHOICE OF CONVERTER CONFIGURATION
• The configuration fora given pulse number is
selected in such a way that both the valve and
transformer (feeding the converter) utilization
are maximized.
• The configuration shown in Fig. is not the best.
In general, a converter configuration can be
defined by the basic commutation group and the
number of such groups connected in series and
parallel.
• If there are ‘q’ valves in a basic commutation
group and r of these are connected in parallel and
s of them connected to in series, then
P = q r s --------------(1)
www.eeecube.com
www.eeecube.com
5
• The valve voltage rating is specified in terms of peak inverse voltage (PIV) it has
to withstand.
• The ratio of PIV to the average dc voltage is an index of the valve utilization.
• The average maximum dc voltage across the converter is given by
VALUE RATING
----------------- (2)
www.eeecube.com
www.eeecube.com
6
• The peak inverse voltage (PIV) across a valve can be obtained as follows :
• If ‘q’ is even. then the maximum inverse voltage occurs when the valve with a
phase displacement of radian (l80°) is conducting and this is given by
PIV =2𝐸𝑚------------------
(3)
• If ‘q’ is odd, maximum inverse voltage occurs when the valve with a phase shift
of 𝜋 ∓
𝜋
𝑞is conducting.
• In this case, PIV =2𝐸𝑚 cos
𝜋
2𝑞−−−−−−−−−−−−−−−− − 4
• The value utilization factor is given by
𝑃𝐼𝑉
𝑉𝑑𝑜
=
2𝜋
𝑠𝑞 sin𝜋
2𝑞
for q even −−−−−−−−− −(5)
𝑃𝐼𝑉
𝑉𝑑𝑜
=
𝜋
𝑠𝑞 sin 𝜋
2𝑞
for q odd −−−−−−−−−− −(6)
www.eeecube.com
www.eeecube.com
7
Multiple Choice
In Monopolar system, the pole is
positive
negative
positive and negative
none
8
TRANSFORMER RATING
• The current rating of a valve is given by
𝐼𝑣 =
𝐼𝑑
𝑟 𝑞----------- (7)
Where , 𝐼𝑑 is the DC current which is assumed to be constant.
• The transformer rating on the valve side is given by ,
------------ (8)
www.eeecube.com
www.eeecube.com
9
• The transformer utilization factor
𝑆𝑡𝑣
𝑉𝑑𝑜𝐼𝑑
is only a function of q. The optimum
value do of q which results in maximum utilization is equal to 3. It is a fortunate
coincidence that the AC power supply is 3 phase and the commutation group of 3
valves is easily arranged.
For q = 3,
𝑆𝑡𝑣
𝑉𝑑𝑜𝐼𝑑= 1.481 --------- (9)
• The transformer utilization can be improved further if two valve groups can share
a single transformer winding. In this case, the current rating of the winding can
be increased by a factor of
2 while decreasing the number of windings by a
factor of 2.
For this case,
𝑆𝑡𝑣
𝑉𝑑𝑜𝐼𝑑= 1.047 ---------- (10)
www.eeecube.com
www.eeecube.com
10
Multiple Choice
monopolar system has pole with
positive
negative
positive and negative
none
11
• For a 6 pulse converter, this can be easily arranged. The Graetz circuit
shown in Fig. is obtained when the two windings are combined into
one.
• Thus, it is shown that both from valve and transformer utilization
considerations.
Graetz circuit is the best circuit for a six pulse converter.
• In HVDC transmission, the series conduction of converter groups has
been preferred because of the ease of control and protection as well as
the requirements of high voltage rating.
• Thus a 12 pulse converter is obtained by the series connection of two
bridges. The 30° phase displacement between the two sets of source
voltages is achieved by the
transformer connections, Y/Y for feeding
one bridge and Y/A for feeding the second bridge.
• The use of 12 pulse converter is preferable over the six pulse converter
because of the reduced filtering requirements. However, increase in
pulse number beyond 12 is not
practical because the non-
characteristic harmonics are not eliminated.
www.eeecube.com
www.eeecube.com
12
SIMPLIFIED ANALYSIS GARETZ CIRCUIT
• Without overlap
• With overlap
www.eeecube.com
www.eeecube.com
13
WITHOUT OVERLAP
www.eeecube.com
www.eeecube.com
14
WITHOUT OVERLAP
• At any instant two valves are conducting in the bridge.
• The following assumption are made to simplify the analysis.
• The dc current is constant.
• The valves can be modelled as ideal switch with zero impedance, when ON ,
and with infinite impedance when OFF
• The AC voltage at the converter bus are sinusoidal and remains constant.
• One period of the AC supply voltage can be divided in to 6 intervals each
corresponding to the conduction of a pair of valves.
• The DC voltage waveform repeats for each interval.
• Thus for the calculation of the average dc voltage it is necessary to consider
only one interval
www.eeecube.com
www.eeecube.com
15
• Assuming the firing of 3 is delayed by an angle alpha ( ) , the
instantaneous dc voltage Vd during the interval is given by
www.eeecube.com
www.eeecube.com
16
𝑉𝑑 = 𝑉𝑑𝑜 cos 𝛼
www.eeecube.com
www.eeecube.com
17
• The range of alpha is from 0 degree to 180 degree
and correspondingly Vd can vary from +Vdo to –
Vdo .
• Thus the same converter can acts as a rectifier or
inverter depending upon whether the dc voltage is
+ve or –ve.
• AC CURRENT WAVEFORM
• It is assumed that the direct current has no ripple.
• There is normally valid because of the smoothing
reactor provided in series with the bridge circuit.
• The rms value of the fundamental components of
the current is given by,
www.eeecube.com
www.eeecube.com
18
www.eeecube.com
www.eeecube.com
19
POWER FACTOR
The ac power supplied to the converter is given by
𝑃𝐴𝐶 =
3𝐸𝐿𝐿𝐼1 cos 𝜑
The DC power must match AC power, ignoring the losses in the converter , thus we get
www.eeecube.com
www.eeecube.com
20
• The reactive power requirements are increased as alpha is decreased from zero.
• When alpha is 90degree the power factor is zero and only reactive power consumes.
www.eeecube.com
www.eeecube.com
21
WITH OVERLAP
• Due to leakage inductance if the converter transformer and the impedance in the supply
network, the current in a valve cannot change suddenly and the commutation from one
valve to next cannot be instantaneous.
• For example : When Valve 3 is Fired.
• The Current transfer from valve 1 to valve 3 takes a finite period during which both valves
are conducting.
• This is called OVERLAP and its duration is measured by the OVERLAPANGLE ()
• Three modes of the converter as follows.
MODE 1 : Two and three valve conduction ( u < 60degree )
MODE 2 : Three valve conduction ( u = 60 degree)
MODE 3 : Three and four valve conduction (u > 60 degree )
www.eeecube.com
www.eeecube.com
22
ANALYSIS OF TWO AND THREE VALVE CONDUCTION MODE
• For the interval considered, the circuit can be reduced to that shown in diagram,
www.eeecube.com
www.eeecube.com
23
www.eeecube.com
www.eeecube.com
24
www.eeecube.com
www.eeecube.com
25
www.eeecube.com
www.eeecube.com
26
www.eeecube.com
www.eeecube.com
27
www.eeecube.com
www.eeecube.com
28
www.eeecube.com
www.eeecube.com
29
It is analogous to armature reaction in the dc machine in the sense that in only represents a voltage drop and not a
power loss
www.eeecube.com
www.eeecube.com
30
ANALYSIS OF THREE AND FOUR VALVE CONDUCTION MODE
www.eeecube.com
www.eeecube.com
31
ANALYSIS OF THREE AND FOUR VALVE CONDUCTION MODE
• When the overlap angle exceeds 60 degree , the minimum number of valves
conducting are three and there are intervals when four valves are conducting.
• This is because when a commutation process is started, the previous commutation
process is not yet completed.
• For example , when valve 3 is fired to valves 1,6 and 2 are still conducting
• The equivalent circuit for this condition is shown in fig,
www.eeecube.com
www.eeecube.com
32
www.eeecube.com
www.eeecube.com
33
www.eeecube.com
www.eeecube.com
34
• The above equation can be written as
𝑽𝒅 =
𝟑𝑽𝒅𝒐 𝐜𝐨𝐬 𝜶 − 𝟑𝟎° − 𝟑𝑹𝒄𝑰𝒅
• The equivalent commutating resistance for this case 3 times that for the case with
overlap angle less than 60 degree.
www.eeecube.com
www.eeecube.com
35
CONVERTER BRIDGE CHARACTERISTICS
1. Rectifier
2. Inverter
www.eeecube.com
www.eeecube.com
36
RECTIFIER
• The rectifier in general has 3 modes:
• 1stmode : 2 and 3 valve conduction mode ( u< 60 degree )
• 2ndmode : 3 valve conduction mode only for (alpha < 30 degree ) u = 60 degree
• 3rdmode : 3 and 4 valve conduction mode (alpha >= 30 degree )
• As per the current continues to increase, the converter operation changes over
from mode 1 to mode 2 and finally to mode 3.
• The DC voltage continues to decrease until reaches to zero
www.eeecube.com
www.eeecube.com
37
• For mode 1 :
𝑉𝑑
𝑉𝑑𝑜
= cos 𝛼 −𝐼𝑑
2𝐼𝑠
• For mode 2 :
• For u = constant , the characteristics are elliptical and the equation is given by
(
𝑉𝑑 𝑉𝑑𝑜
cos𝑢
2
)2+ (
𝐼𝑑 2𝐼𝑠
sin𝑢
2
)
2
= 1
www.eeecube.com
www.eeecube.com
38
• Mode 3 :
• The boundary of the rectifier
operation is shown in fig.
• The co ordinates of point A, B,
C, D and E on the boundary
give in the table
• The points E corresponding to
the maximum power O/P of the
converter
𝑉𝑑
𝑉𝑑𝑜
=
3 cos(𝛼 − 30 ) − 3𝐼𝑑
2𝐼𝑠
www.eeecube.com
www.eeecube.com
39
INVERTER
• The inverter characteristics are similar to the rectifier characteristics
• However, the operation as an inverter requires a minimum commutation
margin angle during which the voltage across the valve is negative
• Hence the operating region of an inverter is different from that for a rectifier.
FIRST RANGE
SECOND RANGE
THIRD RANGE
𝛽 < 60°
𝜀 = 𝛾
60° < 𝛽 < 90°
𝜀 = 60° − 𝑢
= 𝛾 − (𝛽 − 60°)
𝛽 > 90°
𝜀 = 𝛾 − 30°
www.eeecube.com
www.eeecube.com
40
FIRST RANGE
• The commutation margin angle 𝜀 is equal to the extinction angle 𝛾 only
values of 𝛽 ≤ 60°
• The voltages across the value has a positive dent because of the secondary
commutation.
SECOND RANGE
• With increased over lap and consequently earlier ignition of the value, the
dent encroaches on the period in which the valve voltage would otherwise
be negative
THIRD RANGE
• With Decreased commutation margin , the dent becomes entirely negative
,If any dent changes takes places.
𝜷 < 𝟔𝟎°
𝟔𝟎° < 𝜷 < 𝟗𝟎°
𝜷 > 𝟗𝟎°
www.eeecube.com
www.eeecube.com
41
CHARACTERISTICS OF A TWELVE PULSE
CONVERTER
• As long as AC voltage at the converter bus remains sinusoidal the operation of one
bridge is unaffected by the operation of the other bridge connected in series
• In this case, The converter characteristics are with the assumption that the AC
voltage at the converter bus remains constant.
• The region of rectifier operation can be divided in to the Five modes
www.eeecube.com
www.eeecube.com
42
• Mode 1 :
4 and 5 value conduction
0 degree < u < 30degree
• Mode 2 :
5 and 6 value conduction
30 degree < u < 60 degree
• Mode 3 :
6 value conduction
0 < alpha < 30 degree u=60 degree
www.eeecube.com
www.eeecube.com
43
• Mode 4 :
6 and 7 value conduction
60 degree < u < 90 degree
• Mode 5:
7 and 8 value conduction
90 degree < u < 120 degree
• It is noted that, the second mode is continuous of the 1stmode Similarly, 5th
mode is continuous of 7thmode
• The region of the mode 3 shrinks to a point when alpha exceeds 30 degree
www.eeecube.com
www.eeecube.com
44
• When no AC filters are provided and the source reactance Is not zero the operation
of either bridge is affected by the commutation process taking place in the other
bridge.
• In this case operation of the twelve pulse converter is quite complex and there
complex and there could be additional modes
• 5 value conduction
• 6-7 – 8-7 valve conduction
• Also there could be new modes of 5-6-7-6 valve conduction , depending on the
value of coupling factor K is defined by
K =
𝑋𝑠
𝑋 𝑠+𝑋𝑇
Where Xs is the source reactance
XT is the converter transformer leakage reactance
www.eeecube.com
www.eeecube.com
45
• It is to be noted that the interaction between adjacent bridges can be neglected if
the converter bus voltages are sinusoidal.
• However, the presence of source reactance results in the variation off the
magnitude of the bus voltage.
• This can affect the shape of the converter characteristics.
www.eeecube.com
www.eeecube.com
46
DETAILED ANALYSIS OF CONVERTERS
• Some of the assumptions can be made
• The system is described by sets of linear differential equations, and each set is
applicable for particular conduction pattern of the values in bridge.
• AC system is symmetrical and source voltages are balanced
• Firing pulses are generated at equal interval of time.
www.eeecube.com
www.eeecube.com
47
• The solution is periodic in steady state ,each period can be divided in to p
intervals where p is the pulse number of the converter.
• Each interval in general can be sub divided in to sub interval as follows
• 0 < t < t1 corresponding to the Conduction of ( m+1 ) valves.
• t1 < t < T1 corresponding to the Conduction of m valves.
www.eeecube.com
www.eeecube.com
48
• For Example , 6pulse converter
• Normal mode consists of 3 and 2 valve conduction.
• First computing from a non linear equation to form
𝑓(𝑡1) = 0
Once (𝑡1) is obtained initial conditions can be calculated from linear equation
www.eeecube.com
www.eeecube.com
49
• Some of the assumptions can be made for calculating boundary conditions.
• Magnetic fluxes and electric charges must be continuous function of time.
• The current in the outgoing valve is zero at 𝑡 = 𝑡1
DEVELOPMENT OF THE METHOD FOR STEADY STATE ANALYSIS
• It contains there are two sub intervals, it is described as equations
www.eeecube.com
www.eeecube.com
50
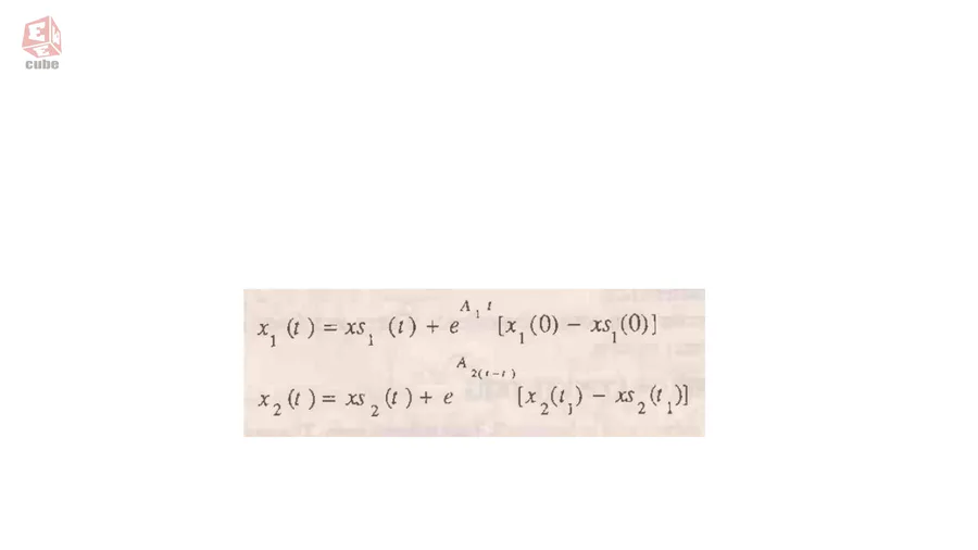
• The orders of the state vector x1 and x2 are (n+1) and n respectively.
• Since outgoing valve current becomes zero at t=t1,one state variable is eliminated
in second outgoing.
• Solutions for above equations are
• Where xs1(t) is the forced response in sub interval I
www.eeecube.com
www.eeecube.com
51
• From the boundary conditions, We have
• In is the identity matrix of nth order
• Where C = [0:1]
• From the consideration of symmetry, We have
www.eeecube.com
www.eeecube.com
52
www.eeecube.com
www.eeecube.com
53
SMOOTHING REACTOR
• Smoothing reactors are intended to provide a high impedance to the flow of
harmonic currents, and to reduce the rate of current rise on failures in direct
current (d.c.) systems.
• Two main application fields are defined as follows:
• * The direct current has superimposed harmonic components. This situation
occurs in d.c. systems for industrial applications. Since the system voltages are
generally not higher than 10kV, these reactors are usually designed for indoor
application.
• * The direct current has small superimposed harmonic components. This situation
occurs in HVDC transmission systems. The d.c. system voltages are generally
50kV or higher.
www.eeecube.com
www.eeecube.com
ANALYSIS OF HVDC
CONVERTERS
UNIT II
www.eeecube.com
www.eeecube.com
Show answer
Auto Play
Slide 1 / 53
SLIDE
Similar Resources on Wayground
49 questions
Aspectos preliminares de Asignatura
Presentation
•
University
50 questions
UNIT 8,9,10 REVIEW
Presentation
•
University
45 questions
2022S2 - IC08 - Tipos de Inovação
Presentation
•
University
46 questions
1. fase I PGYD
Presentation
•
University
52 questions
Classification
Presentation
•
University
48 questions
Ch 15 part 2
Presentation
•
University
48 questions
H-L5U4: Future Simple and Continuous
Presentation
•
University
49 questions
Webinar Quizizz AI Live Webinar
Presentation
•
Professional Development
Popular Resources on Wayground
20 questions
Math Review
Quiz
•
3rd Grade
15 questions
Fast food
Quiz
•
7th Grade
20 questions
Context Clues
Quiz
•
6th Grade
20 questions
Inferences
Quiz
•
4th Grade
19 questions
Classifying Quadrilaterals
Quiz
•
3rd Grade
20 questions
Figurative Language Review
Quiz
•
6th Grade
20 questions
Equivalent Fractions
Quiz
•
3rd Grade
10 questions
Identify Fractions, Mixed Numbers & Improper Fractions
Quiz
•
3rd - 4th Grade
Discover more resources for Education
20 questions
Guess The App
Quiz
•
KG - Professional Dev...
11 questions
NFL Football logos
Quiz
•
KG - Professional Dev...
19 questions
Minecraft
Quiz
•
6th Grade - Professio...
40 questions
8th Grade Math Review
Quiz
•
8th Grade - University
20 questions
Block Buster Movies
Quiz
•
10th Grade - Professi...
10 questions
Would you rather...
Quiz
•
KG - University
40 questions
Flags of the World
Quiz
•
KG - Professional Dev...
14 questions
Superhero
Quiz
•
1st Grade - University