
7.1 Test Prep
Presentation
•
Mathematics
•
9th - 12th Grade
•
Practice Problem
•
Hard
David Granda
FREE Resource
12 Slides • 12 Questions
1
2
3
Math Response
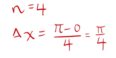
What is the value
of Δx ?
4
Use the number line
to set up your approximation
5
Multiple Choice
What is the function
of the problem?
f(x)=x2
f(x)=sinx
f(x)=cosx
f(x)=ex
6
Multiple Choice
Which expression
is the appropriate
for a left Riemann Sum
on the interval
4π(f(0)+f(4π)+f(2π)+f(43π))
4π(f(4π)+f(2π)+f(43π)+f(π))
4π(f(8π)+f(83π)+f(85π)+f(87π))
7
Multiple Choice
Which option is equivalent to our approximation
8
9
10
Open Ended
What does the area under the curve
represent for a rate?
(use the first example in 7.1 to help you)
11
Multiple Choice
Which is the correct interpretation of the area?
A
B
C
D
E
12
13
Use the graph of f'(x) to determine the number of critical points
14
Multiple Choice
Given f'(x),
how many critical values are there on
the interval [0, 10]
(A) One
(B) Two
(C) Three
(D) Four
(E) Six
15
Use the graph of y to answer the question.
16
Open Ended
What does it mean for the tangent line to be parallel with the x axis?
17
18
19
Multiple Choice
How can we find the maximum height?
Find the area under the curve
Find when the derivative is zero
When the avg. rate of change is positive
When the second derivative is
negative
20
Math Response
what is the value of
h′(t) ?
21
Math Response
Solve the equation
100−32t=0
what is the value of t?
(express as a ratio)
22
Multiple Choice
Now evaluate
h(32100)
A) 312.500
(B) 156.250
(C) 78.125
(D) 6.250
(E) 3.125
23
24
Complete #6-8
Independently
Show answer
Auto Play
Slide 1 / 24
SLIDE
Similar Resources on Wayground
17 questions
4.2 - Quadratics in Standard Form
Presentation
•
9th - 12th Grade
20 questions
Average Rate of Change
Presentation
•
9th - 12th Grade
21 questions
Prove Triangle Congruence
Presentation
•
9th - 12th Grade
21 questions
Properties of Exponents
Presentation
•
9th - 12th Grade
21 questions
Exponential & Logarithms Practice
Presentation
•
9th - 12th Grade
19 questions
Literal Equations Practice Problems
Presentation
•
9th - 12th Grade
19 questions
BARISAN DAN DERET GEOMETRI
Presentation
•
9th - 12th Grade
17 questions
Factoring Trinomials a = 1 Lesson
Presentation
•
9th - 12th Grade
Popular Resources on Wayground
20 questions
"What is the question asking??" Grades 3-5
Quiz
•
1st - 5th Grade
20 questions
“What is the question asking??” Grades 6-8
Quiz
•
6th - 8th Grade
10 questions
Fire Safety Quiz
Quiz
•
12th Grade
20 questions
Equivalent Fractions
Quiz
•
3rd Grade
34 questions
STAAR Review 6th - 8th grade Reading Part 1
Quiz
•
6th - 8th Grade
20 questions
“What is the question asking??” English I-II
Quiz
•
9th - 12th Grade
20 questions
Main Idea and Details
Quiz
•
5th Grade
47 questions
8th Grade Reading STAAR Ultimate Review!
Quiz
•
8th Grade
Discover more resources for Mathematics
20 questions
Graphing Inequalities on a Number Line
Quiz
•
6th - 9th Grade
46 questions
Linear and Exponential Function Key Features
Quiz
•
9th Grade
18 questions
CHS PSAT Prep
Quiz
•
9th Grade
21 questions
Factoring Trinomials (a=1)
Quiz
•
9th Grade
15 questions
Combine Like Terms and Distributive Property
Quiz
•
8th - 9th Grade
44 questions
Vocabulary Algebra I
Quiz
•
9th Grade
20 questions
Function or Not a Function
Quiz
•
8th - 9th Grade
18 questions
Linear vs Exponential Functions
Quiz
•
9th Grade