Zeros of Vertex Form Quadratic
Quiz
•
Mathematics
•
9th Grade - University
•
Hard
Natalie Dominguez
Used 8+ times
FREE Resource
Enhance your content in a minute
8 questions
Show all answers
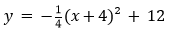
1.
MULTIPLE CHOICE QUESTION
5 mins • 1 pt
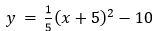
2.
MULTIPLE CHOICE QUESTION
5 mins • 1 pt
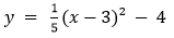
3.
MULTIPLE CHOICE QUESTION
5 mins • 1 pt
4.
MULTIPLE CHOICE QUESTION
5 mins • 1 pt
5.
MULTIPLE CHOICE QUESTION
5 mins • 1 pt
6.
MULTIPLE CHOICE QUESTION
5 mins • 1 pt
7.
MULTIPLE CHOICE QUESTION
5 mins • 1 pt
8.
MULTIPLE CHOICE QUESTION
5 mins • 1 pt
Similar Resources on Wayground
10 questions
КОЛИЧЕСТВЕННЫЕ ХАРАКТЕРИСТИКИ
Quiz
•
9th - 12th Grade
10 questions
Prova de Matemàtiques
Quiz
•
10th Grade
10 questions
SOAL LATIHAN OSN MATEMATIKA
Quiz
•
12th Grade
13 questions
Problemes de Percentatges i Proporcionalitat II
Quiz
•
9th Grade
10 questions
Normal Distribution
Quiz
•
11th Grade
10 questions
BENTUK AKAR-3
Quiz
•
10th Grade
10 questions
Matrix Quiz Week 2 I - CSC C
Quiz
•
University
10 questions
GAME: Hàm số bậc hai, đồ thị và ứng dụng
Quiz
•
University
Popular Resources on Wayground
10 questions
Ice Breaker Trivia: Food from Around the World
Quiz
•
3rd - 12th Grade
20 questions
Halloween Trivia
Quiz
•
6th - 8th Grade
25 questions
Multiplication Facts
Quiz
•
5th Grade
4 questions
Activity set 10/24
Lesson
•
6th - 8th Grade
22 questions
Adding Integers
Quiz
•
6th Grade
10 questions
How to Email your Teacher
Quiz
•
Professional Development
15 questions
Order of Operations
Quiz
•
5th Grade
30 questions
October: Math Fluency: Multiply and Divide
Quiz
•
7th Grade
Discover more resources for Mathematics
12 questions
Graphing Inequalities on a Number Line
Quiz
•
9th Grade
20 questions
Translations, Reflections & Rotations
Quiz
•
8th - 10th Grade
15 questions
Two Step Equations
Quiz
•
9th Grade
20 questions
Parallel and Perpendicular lines
Quiz
•
9th Grade
10 questions
Types of Slope
Quiz
•
6th - 9th Grade
20 questions
Triangle Congruence Theorems
Quiz
•
9th Grade
14 questions
Model and Solve Linear Equations
Quiz
•
9th - 12th Grade
20 questions
Slope from Two Points
Quiz
•
9th Grade
