Search Header Logo

Derivada de F. trigonométricas inversas

Authored by Luis Enrique Olea Osuna

Mathematics

University

Used 2+ times

Derivada de F. trigonométricas inversas
AI

AI Actions

Add similar questions

Adjust reading levels

Convert to real-world scenario

Translate activity

More...

    Content View

    Student View

8 questions

Show all answers

1.

MATCH QUESTION

2 mins • 1 pt

Une las fórmulas para derivar con sus funciones correspondientes:

2.

REORDER QUESTION

2 mins • 1 pt

3.

MULTIPLE CHOICE QUESTION

2 mins • 1 pt

4.

MULTIPLE CHOICE QUESTION

2 mins • 1 pt

5.

MULTIPLE CHOICE QUESTION

2 mins • 1 pt

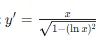
6.

MULTIPLE CHOICE QUESTION

2 mins • 1 pt

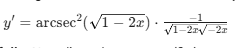
7.

MULTIPLE CHOICE QUESTION

30 sec • 1 pt

Media Image
Media Image
Media Image
Media Image

Access all questions and much more by creating a free account

Create resources

Host any resource

Get auto-graded reports

Google

Continue with Google

Email

Continue with Email

Classlink

Continue with Classlink

Clever

Continue with Clever

or continue with

Microsoft

Microsoft

Apple

Apple

Others

Others

Already have an account?