
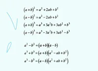
Формулы сокращенного умножения
Authored by Мария Никитина
Mathematics
8th Grade
Used 16+ times

AI Actions
Add similar questions
Adjust reading levels
Convert to real-world scenario
Translate activity
More...
Content View
Student View
10 questions
Show all answers
1.
MULTIPLE CHOICE QUESTION
1 min • 1 pt
Разложите на множители выражение x^2 - 25
(x + 5)(x - 5)
(x + 6)(x - 4)
(x + 3)(x - 7)
(x - 2)(x + 8)
2.
MULTIPLE CHOICE QUESTION
1 min • 1 pt
Какой будет результат разложения выражения a^2 - 9?
(a + 4)(a - 2)
(a + 2)(a - 4)
(a + 3)(a - 3)
(a^2 + 9)
3.
MULTIPLE CHOICE QUESTION
1 min • 1 pt
Найдите произведение (x + 3)(x - 3)
x^2 - 6
x^2 + 9
x^2 - 9
x^2 + 3
4.
MULTIPLE CHOICE QUESTION
1 min • 1 pt
Выразите в виде произведения множителей: y^2 - 16
(y + 2)(y - 8)
(y + 4)(y - 4)
(y - 6)(y + 6)
(y + 3)(y - 5)
5.
MULTIPLE CHOICE QUESTION
1 min • 1 pt
Разложите на множители 9x^2 - 25
(3x - 5)(3x - 5)
(3x + 5)(3x + 5)
(9x + 5)(9x - 5)
(3x + 5)(3x - 5)
6.
MULTIPLE CHOICE QUESTION
1 min • 1 pt
Какой будет результат факторизации выражения 16 - x^2?
(4 + x)(4 - x)
(4 - x)(4 + x)
(4 + x)(4 + x)
(16 + x^2)
7.
MULTIPLE CHOICE QUESTION
1 min • 1 pt
Найдите произведение (2a + 5)(2a - 5)
4a^2 - 25
4a^2 + 10
4a^2 - 10
4a^2 + 25
Access all questions and much more by creating a free account
Create resources
Host any resource
Get auto-graded reports

Continue with Google

Continue with Email

Continue with Classlink

Continue with Clever
or continue with

Microsoft
%20(1).png)
Apple
Others
Already have an account?