
Factoring out the GCF then perfect square trinomial with multiple terms
Interactive Video
•
Mathematics, Information Technology (IT), Architecture
•
11th Grade - University
•
Practice Problem
•
Hard
Wayground Content
FREE Resource
Read more
5 questions
Show all answers
1.
OPEN ENDED QUESTION
3 mins • 1 pt
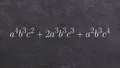
What is the GCF in the expression given in the text?
Evaluate responses using AI:
OFF
2.
OPEN ENDED QUESTION
3 mins • 1 pt
Explain the process of factoring out the GCF from the expression.
Evaluate responses using AI:
OFF
3.
OPEN ENDED QUESTION
3 mins • 1 pt
What does it mean for an expression to be a perfect square trinomial?
Evaluate responses using AI:
OFF
4.
OPEN ENDED QUESTION
3 mins • 1 pt
How can you rewrite a perfect square trinomial according to the text?
Evaluate responses using AI:
OFF
5.
OPEN ENDED QUESTION
3 mins • 1 pt
What is the final answer after factoring the expression as described in the text?
Evaluate responses using AI:
OFF
Access all questions and much more by creating a free account
Create resources
Host any resource
Get auto-graded reports

Continue with Google

Continue with Email

Continue with Classlink

Continue with Clever
or continue with

Microsoft
%20(1).png)
Apple
Others
Already have an account?