
AR Final Review Do Now - Quad Formula and Discriminant 12-11-24
Flashcard
•
Mathematics
•
9th - 12th Grade
•
Practice Problem
•
Hard
Wayground Content
FREE Resource
Student preview

15 questions
Show all answers
1.
FLASHCARD QUESTION
Front
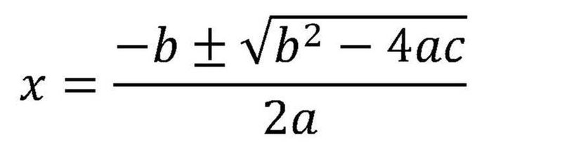
What is the quadratic formula?
Back
The quadratic formula is x = (-b ± √(b² - 4ac)) / (2a), used to find the roots of a quadratic equation ax² + bx + c = 0.
2.
FLASHCARD QUESTION
Front
What does the discriminant tell us about a quadratic equation?
Back
The discriminant (D = b² - 4ac) indicates the nature of the roots: if D > 0, there are 2 distinct real roots; if D = 0, there is 1 real root (a repeated root); if D < 0, there are 2 complex (imaginary) roots.
3.
FLASHCARD QUESTION
Front
Solve using the quadratic formula: 9x² = 4 + 7x
Back
x = 1.16 and x = -0.38.
4.
FLASHCARD QUESTION
Front
Solve using the quadratic formula: 2x² + 2x - 12 = 0
Back
x = 2 and x = -3.
5.
FLASHCARD QUESTION
Front
Determine the value of the discriminant for x² + 7x + 13 = 0.
Back
The discriminant is -3, indicating 2 imaginary roots.
6.
FLASHCARD QUESTION
Front
What is the discriminant of the equation x² - 6x + 9 = 0?
Back
The discriminant is 0, indicating 1 real root.
7.
FLASHCARD QUESTION
Front
What is the formula for the discriminant?
Back
The discriminant is given by D = b² - 4ac.
Access all questions and much more by creating a free account
Create resources
Host any resource
Get auto-graded reports

Continue with Google

Continue with Email

Continue with Classlink

Continue with Clever
or continue with

Microsoft
%20(1).png)
Apple
Others
Already have an account?