
UTS_Nurul Atika_H0421004_Gerak Dua Dimensi (3.1-3.2)
Presentation
•
Physics
•
University
•
Hard
Nurul Atika
Used 1+ times
FREE Resource
86 Slides • 5 Questions
1
Gerak Dua Dimensi
Gerak Peluru
Gerak Melingkar
Bab 3 GERAK DUA DIMENSI
: Nurul Atika
: H0421004
: Pendidikan Fisika 21A
Nama
NIM
Prodi
Prodi Pendidikan Fisika
Fakultas Keguruan dan Ilmu Pendidikan
Universitas Sulawesi Barat
2023
2
Gerak Dua Dimensi
Gambar 3.1 Contoh gerak dua dimensi. Lintasan benda membentuk satu bidang datar, baik bidang vertikal, horisontal, atau miring.
3
Gerak Peluru
Gerak peluru kendali yang ditembakkan umumnya berbentuk gerak peluru. Dengan memahami hukum-hukum gerak peluru maka sudut penembakan dapat diatur sehingga peluru mengenai sasaran.
Peluncuran roket yang membawa satelit menempuh lintasan seperti lintasan peluru. Dengan demikian arah peluncuran dapat ditentukan sehingga roket mencapai posisi yang diinginkan untuk menempatkan satelit pada orbitnya.
Gambar peluru kendali yang ditembakkan (the-tap.blogspot.com
Gambar roket yang diluncurkan (utexas.edu)
4
Gerak Peluru
Pemain golf dapat mengatur kekuatan pukulan serta sudut pukulan sehingga bola jatuh tepat atau dekat lubang yang dikehendaki.
Pemain basket dapat mengatur kekuatan lemparan maupun sudut lemparan sehingga bola tepat masuk ke keranjang dan menciptakan nilai.
Pemain bola dapat mengatur kekuatan serta sudut tendangan sehingga bola tepat masuk ke gawang lawan.Atlit lempar cakram, lempar lembing, maupun tolak peluru dapat mengatur sudut lontaran sehingga dicapai jarak terjauh. Meraka selalu berlatih agar setiap lemparan selalu memenuhi sudut tersebut.
Gambar bola golf yang dipukul (e2marino.wordpress.com)
5
Gerak Peluru
Gambar 3.3 Bentuk umum lintasan peluru yang ditembakkan dengan sudut elevasi terhadap sumbu datar. Ketinggian lintasan maupun jarak tempuh (jarak dalam arah horisontal) sangat bergantung pada laju awal dan sudut tembakan.
(3.1a)
(3.1b)
Sekarang kita mulai membahas gerak peluru secara detail. Peluru yang ditembakkan dengan kecepatan awal membentuk sudut elevasi tertentu terhadap sumbu datar akan mengambil lintasan seperti pada Gambar 3.3. Pada saat ditembakkan, peluru memiliki dua komponen kecepatan. Komponen kecepatan arah horisontal dan arah vertikal adalah
6
Gerak Peluru
Gambar 3.4 Komponen horisontal kecepatan peluru selalu constan tetapi komponen vertikal selalu berubah-ubah. Perubahan komponen vertikal disebabkan oleh adanya percepatan gravitasi bumi. Komponen kecepatan arah horisontal tidak berubah karena tidak ada percepatan dalam arah horisontal.
Lintasan gerak peluru selalu melengkung ke bawah akibat adanya percepatan gravitasi bumi. Salah satu yang khas dari gerak peluru adalah komponen kecepatan arah horizontal selalu tetap selama peluru bergerak. Tetapi komponen kecepatan arah vertikal selalu berubah-ubah (Gambar 3.4). Mula-mula makin kecil dan saat di puncak lintasan, komponen kecepatan arah vertical nol. Kemudian komponen kecepatan membesar kembali namun arahnya berlawanan (arah ke bawah).
7
Gerak Peluru
(3.2a)
(3.2b)
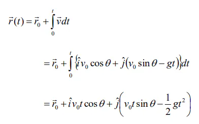
Perbedaan sifat gerakan tersebut karena dalam arah vertikal ada percepatan gravitasi yang berarah ke bawah sedangkan dalam arah horizontal tidak ada percepatan (Gambar 3.5). Jika kita ambil arah ke kanan sejajar dengan sumbu x positif dan arah ke atas sejajar dengan sumbu y positif maka komponen kecepatan gerak peluru dalam arah sumbu x (horisontal) dan sumbu y (vertikal) adalah
Dengan demikian, vektor kecepatan gerak peluru tiap saat adalah
(3.3)
8
Gerak Peluru
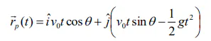
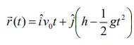
Posisi peluru tiap saat memenuhi persamaan
(3.4)
9
Gerak Peluru
Dari persamaan komponen kecepatan maka kita dapat menentukan sudut yang dibentuk oleh vektor kecepatan terhadap arah horisontal. Misalkan sudut tersebut adalah (Ganbar 3.6) maka
(3.5)
10
Gerak Peluru
Gambar 3.5 Peluru mendapat percepatan ke bawah (gravitasi) dan tidak mendapat percepatan arah horizontal. Gerak peluru dapat juga dipandang sebagai dua gerak terpisah, yaitu gerak dengan percepatan konstan arah veritak dan gerak dengan laju konstan arah horisontal.
Gambar 3.6 Vektor kecepatan peluru tiap saat. Arah kecepatan selalu berubah tiap saat karena besar komponen vertikal selalu berubah (karena adanya percepatan gravitasi bumi) sedangkan besar komponen horisontal selalu tetap (karena tidak memiliki percepatan).
11
Gerak Peluru
Dari persamaan komponen kecepatan maka kita dapat menentuykan sudut yangdibentuk okllehvektor kecepatan yang dibentuk oleh vektor kecepatan
(3.3)
12
Gerak Peluru
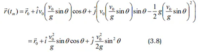
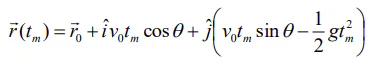
Dari persamaan (3.5) kita dapatkan sejumlah informasi. Pada puncak lintasan peluru hanya memiliki kecepatan arah horisontal. Dengan demikian pada puncak lintasan berlalu = 0 atau tan = 0. Misalkan waktu yang diperlukan sejak peluru ditembakkan hingga mencapai puncak lintasan adalah tm maka berlaku
yang menghasilkan
(3.6)
13
Gerak Peluru
Gambar 3.7 Arah vektor kecepatan saat peluru ditembakkan dan saat kembali ke tanah. Sudut yang dibentuk vektor kecepatan saat peluru ditembakkan dan saat peluru mencapai tanah sama besar tetapi berlawanan tanda.
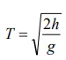
Kapan peluru mencapai tanah kembali? Kita asumsikan bahwa ketinggian tempat penembakan sama dengan ketinggian tempat jatuh peluru. Pada saat penembakan, t = 0, terpenuhi
14
Gerak Peluru
atau
(3.7)
15
Gerak Peluru
16
Gerak Peluru
Gambar 3.8 Ketinggian lintasan sama dengan jarak vertical dari puncak lintasan ke dasar yang sejajar dengan titik penembakan. Jarak tempuh adalah jarak mendatar dari titik penembakan ke titik jatuh peluru.
17
Gerak Peluru
Dari persamaan (3.8) kita simpulkan bahwa ketinggian maksimum yang dicapai peluru adalah
(3.9)
jarak dalam arah x tepat di bawah puncak lintasan adalah
(3.10)
18
Gerak Peluru
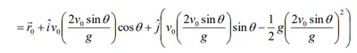
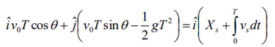
Dengan menggunakan T pada persamaan (3.7) maka posisi peluru saat kembali mencapai tanah adalah
19
Gerak Peluru
Kita definisikan jarak tempuh sebagai jarak horizontal dari titik penembakan benda ke titik jatuh peluru di tanah (asumsi titik penembakan dan titik jatuh berada pada bidang datar). Dengan mengacu pada persamaan (3.11) maka jarak tempuh adalah
(3.12)
20
Gerak Peluru
Kita definisikan jarak tempuh sebagai jarak horizontal dari titik penembakan benda ke titik jatuh peluru di tanah (asumsi titik penembakan dan titik jatuh berada pada bidang datar). Dengan mengacu pada persamaan (3.11) maka jarak tempuh adalah
(3.13)
21
Gerak Peluru
Sasaran dengan Jarak Bervariasi
Dalam peperangan, senjata yang digunakan telah memiliki laju awal tertentu. Namun, sasaran yang akan ditembak kadang jauh dan kadang dekat. Agar peluru mengenai sasaran maka yang dapat dilakukan adalah mengantur sudut tembak. Berapakah sudut tembak jika sasaran berada dalam arah horisontal sejauh R? Jelas di sini bahwa R < Rmaks . Mari kita hitung.
Kita sudah mendapatkan persamaan jarak tembak yang diberikan oleh persamaan (3.12). Jika jarak tembak R berbeda-beda maka besar sudut tembak memenuhi
(3.14)
22
Gerak Peluru
Sasaran dengan Jarak Bervariasi
23
Gerak Peluru
Sasaran dengan Jarak Bervariasi
Gambar 3.9 adalah kurva sudut tembak sebagai fungsi jangkauan. Jangkauan dinyatakan dalam satuan jangkauan maksimum. Tampak bahwa untuk setiap jangkatan yang dikehendaki maka ada dua sudut tempak yang dapat dilakukan, yaitu dengan sudut kecil dan dengan sudut besar. Penembakan dengan sudut kecil menyebabkan peluru mencapai sasaran lebih cepat. Namun, jika antara posisi penembakan dan sasaran terdapat penghalang yang cukup tinggi seperti bangunan, pepohonan, atau bukit kecil maka kita memilih sudut tembak yang besar.
24
Gerak Peluru
Sasaran dengan Jarak Bervariasi
Gambar 3.9 Sudut penembakan peluru sebagai fungsi jarak sasaran agar peluru tepat mengenai sasaran. Tampak bahwa selalu ada dua sudut untuk mencapai jarak yang sama, yang satu lebih besar dari 45o dan yang satu lebih kecil dari 45o . Namun, jarak terjauh hanya dapat dicapai dengan satu sudut, yaitu 45o .
25
Gerak Peluru
Menembak Sasaran yang Bergerak
(3.15)
26
Gerak Peluru
Menembak Sasaran yang Bergerak
(3.16)
(3.17)
Persamaan (3.17) menghasilkan dua persamaan berikut ini
(3.18a)
27
Gerak Peluru
Menembak Sasaran yang Bergerak
(3.18b)
Dari persamaan (3.18b) kita dapatkan
(3.19)
Jika sasaran bergerak dengan laju konstant dan menjauhi lokasi penembakan maka persamaan (3.18a) menjadi
(3.20)
28
Gerak Peluru
Menembak Sasaran yang Bergerak
Samakan persamaan (3.19) dan (3.20) maka diperoleh
(3.21)
29
Gerak Peluru
Menembak Sasaran yang Bergerak
(3.22)
30
Gerak Peluru
Menembak Sasaran yang Bergerak
Gambar 3.10 Sudut tembak agar mengenai sasaran yang bergerak menjauh dengan laju vs = 0,1v0. Di sini pun tampak bahwa untuk jarak tertentu maka selalu ada dua sudut tembakan yang memenuhi syarat.
31
Gerak Peluru
Menembak Sasaran yang Bergerak
Jika sasaran mendekati arah penembakan maka persamaan yang dipenuhi adalah dengan mengganti tanda vs dan diperoleh
(3.23)
Persamaan (3.23) juga mesti diselesaikan secara numerik.
32
Gerak Peluru
Sasaran Tidak Pada Ketinggian Yang Sama
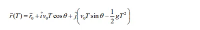
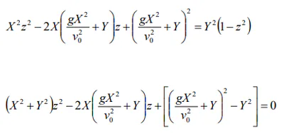
Bagaimana jika sasaran tidak berada pada ketinggian yang sama dengan tempat peluru ditembakkan? Seperti diilustrasikan pada Gambar 3.11. Kita pilih lokasi penembakan berada di koordinat sedangkan sasaran berada pada posisi
(3.24)
Peluru mengenai sasaran setelah selang waktu ts yang memenuhi
(3.25)
33
Gerak Peluru
Sasaran Tidak Pada Ketinggian Yang Sama
Jadi peluru mengenai sasaran saat vektor posisi peluru sama dengan vektor posisi sasaran. Kita samakan suku yang mengandung verktor satuan sejenis sehingga diperoleh
(3.26a)
(3.26b)
34
Gerak Peluru
Sasaran Tidak Pada Ketinggian Yang Sama
Gambar 3.11 Peluru menembak sasaran yang memiliki ketinggian yang berbeda dengan lokasi penembakan (sumber gambar: malvern-hills.co.uk).
Dari persamaan (3.26a) kita peroleh waktu yang diperlukan peluru mengenai sasaran adalah
35
Gerak Peluru
Sasaran Tidak Pada Ketinggian Yang Sama
Substitusi persamaan (3.27) ke dalam persamaan (3.26b) maka diperoleh
(3.28)
36
Gerak Peluru
Sasaran Tidak Pada Ketinggian Yang Sama
Untuk menyederhanakan persamaan (3.28) kita gunakan hubungan trigonometri berikut ini
37
Gerak Peluru
Sasaran Tidak Pada Ketinggian Yang Sama
Dengan demikian persamaan (3.28) dapat ditulis menjadi
(3.29)
38
Gerak Peluru
Sasaran Tidak Pada Ketinggian Yang Sama
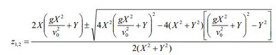
Agar lebih sederhana lagi kita misalkan sin 2 z sehingga persamaan (3.29) menjadi
Kita kuadratkan sisi kiri dan kanan sehingga
39
Gerak Peluru
Sasaran Tidak Pada Ketinggian Yang Sama
Solusi untuk z adalah
(3.30)
Ada dua solusi yang diberikan oleh persaman di atas. Tetapi mengingat z sin 2 maka nilai z hanya boleh berada antara 1 dan -1. Dari dua solusi di atas, jika dua nilai z berada antara -1 sampai 1 maka kedua solusi benar. Ini berarti ada dua sudut penembakan agar mengenai sasaran. Namun, jika salah satu nilai z tidak berada antara -1 sampai 1 maka hanya solusi antara -1 sampai 1 yang digunakan. Ini artinya, hanya satu kemungkina sudut tembakan yang dapat mengenai sasaran. Setelah kita peroleh z maka sudut dapat dihitung dengan mudah
40
Gerak Peluru
Aplikasi Olah Raga
Lempar cakram, lempar lembing, tolak peluru, dan lompat jauh adalah olah raga yang dinilai berdasarkan jarak tempuh yang dicapai. Jangkauan maksimum ditentukan oleh laju awal maupun sudut awal. Karena laju awal yang dilakukan seorang atlit sudah tertentu maka yang dapat dikontrol untuk mencapai jarak terjauh adalah sudut awal. Berapa besar sudut awal agar menjadi juara dalam olah raga tersebut?
Gambar 3.12 Atlit lompat jauh akan melakukan lompatan terjauh jika membentuk sudut 45o . Para atlit lompat jauh harus berlatih keras agar memiliki feeling yang kuat sehingga sudut lompatannya selalu mendekati 45o (sumber gambar: sull.tv)
41
Gerak Peluru
Aplikasi Olah Raga
Gambar 3.13 Pelompat tinggi harus membentuk sudut mendekati 90o saat melompat agar diperoleh ketinggian maksimum. Yang harus dilatih oleh pelompat tinggi adalah bagaimana agar melompat dengan sudut hampir 90o tetapi tidak menyentuh penghalang (sumber gambar: iaaf.org).
42
Gerak Peluru
Aplikasi Olah Raga
43
Gerak Peluru
Aplikasi dalam Peperangan
Kecepatan keluarnya peluru dari moncong tank atau merian sudah tertentu (Gambar 3.14). Dalam suatu peperangan, peluru harus dijatuhkan ke lokasi musuh. Sebelum penembakan peluru dilakukan maka jarak musuh diestimasi terlebih dahulu. Berdasarkan jarak tersebut maka sudut penembakan diatur sehingga peluru tepat jatuh ke lokasi musuh. Untuk memperkirakan sudut penembakan, kita dapat menggunakan persamaan jangkauan maksimum. Jarak tank ke posisi musuh adalah R. Agar peluru tepat jatuh ke posisi musuh maka sudut penembakan harus memenuhi persamaan (3.14).
Gambar 3.14 Tank mengantur sudut penembakan agar peluru tepat jatuh di lokasi musuh. Biasanya dilakukan denan coba-coba. Ketika tembakan pertama terlampau dekat maka sudut moncong tank diatur mendekati 90o . Sebaliknya jika tembakan pertama terlalu jauh maka arah moncong meriam diatur sehingga menjauhi 45o (sumber gambar: ****)
44
Gerak Peluru
Aplikasi dalam Peperangan
Bom yang dijatuhkan dari pesawat yang sedang bergerak mendatar akan membentuk lintasan setengah parabola. Benda tersebut memulai gerak di puncak parabola. Kecepatan awal yang dimiliki hanya komponen horizontal yang sama dengan laju pesawat. Gerakan bom tersebut serupa dengan gerakan bola pada Gambar 3.15.
Gambar 3.15 Gerakan bola yang digelindingkan dari tepi meja menempuh lintasan setengah parabola. Kecepatan awal hanya memiliki komponen horisontal. Gerak arah vertikal menjadi gerak dengan percepatan konstan dan laju awal nol. Gerak arah horisontal adalah gerak dengan laju konstan.
Posisi awal bom adalah
45
Gerak Peluru
Aplikasi dalam Peperangan
dengan h adalah ketinggian pesawat saat melepas bom. Kecepatan awal bom hanya memiliki komponen arah horisontal, atau
Dengan demikian, kecepatan bom tiap saat adalah
Percepatan bom adalah percepatan gravitasi atau
(3.31)
Posisi bom tiap saat adalah
(3.32)
Saat mencapai tanah ketinggian bom adalah 0. Misalkan T adalah waktu yang diperlukan bom untuk mencapai tanah maka terpenuhi
(3.33)
atau
46
Gerak Peluru
Aplikasi dalam Peperangan
Karena gerak arah horisontal memiliki laju konstan (tidak memiliki percepatan) maka jarak tempuh benda arah horizontal ketika menyentuh tahan adalah
(3.34)
Pesawat pengembom menggunakan persamaan ini untuk menentukan saat yang tepat ketika akan menjatuhkan bom. Ketika pesawat bergerak, besaran yang dimiliki adalah laju dan ketinggian. Ketika di depan ada lokasi musuh yang harus dibom, kapankah saatnya bom dilepas?
Dari ketinggian pesawat dapat ditentukan waktu yang diperlukan bom mencapai tanah (persamaan (3.33)). Berdasarkan waktu ini dan data laju pesawat maka akan diteketahui berapa jauh bom bergerak secara horizontal saat mencapai tanah (persamaan (3.34)). Dengan demikian, pilot dapat menentukan di posisi di belakang sasaran bom tersebut dijatuhkan. Semua informasi ini ada di layar kontrol pesawat dan telah dihitung oleh komputer yang ada di pesawat. Jadi pilot tidak perlu pelakukan perhitungan.
47
Gerak Peluru
Aplikasi dalam Peperangan
Lebih sering pesawat pembom tidak hanya menjatuhkan satu bom, tetapi menjatuhkan sejumlah bom (Gambar 3.16). Jika pesawat hanya menjatuhkan satu bom maka bisa terjadi posisi jatuhnya bom meleset dari sasaran yang mungkin disebabkan kesalahan data yang diolah. Untuk menghindari lolosnya sasaran maka pesawat menjatuhkan bom secara bertubi-tubi. Dengan dijatuhkan bom secara bertubi-tubi maka bom akan mengenai wilayah di tanah yang cukup panjang sehingga kemungkinan mengenai sasaran menjadi lebih tinggi.
Misalkan bom dijatuhkan selama selang waktu delta t. Maka panjang daerah di tanah yang dikenai bom menjadi v0, delta t dengan v0 adalah laju pesawat. Misalkan perode pelepasan bom (selang waktu dijatuhkan dua bom berurutan) adalah torsi maka jumlah bom yang dijatuhkan selama selang waktu delta t adalah
(3.35)
48
Gerak Peluru
Aplikasi dalam Peperangan
Jarak dua lokasi berdekatan di tanah yang dikenai bom adalah
(3.36)
Gambar 3.16 Lintasan bom yang dilepas pesawat ke sasaran di tanah (sumber gambar : *****).
49
Gerak Melingkar
Jenis gerak dua dimensi yang khusus lainnya adalah gerak melingkar. Gerak melingkar adalah gerak pada sau bidang datar dan mengelilingi satu titik tertentu. Dalam kehidupan sehari-hari kita mengamati atau memanfaatkan gerak melingkar. Gerak roda kendaraan, gerak CD, VCD dan DVD, gerak kendaran di tikungan yang berbentuk irisan lingkaran, gerak jarum jam, gerak satelit mengitari bumi, roller coaster, dan sebagainya adalah contoh gerak melingkar. Bahkan gerak planet-planet mengelilingi matahari mendekati gerak melingkar (walaupun lintasannya berbentuk ellips, namun ellips yang tidak terlalu lonjong).
Secara sederhana gerak melingkar didefinisikan sebagai gerak benda pada lintasan berupa keliling lingkaran, baik lingkaran penuh atau tidak penuh. Ciri khas dari gerak melingkar adalah jarak benda ke suatu titik acuan, yang merupakan titik pusat lingkaran selalu tetap. Sifat lain yang menonjol pada gerak melingkar adalah arah kecepatan selalu menyinggung lintasan. Ini artinya pada gerak melingkar kecepatan selalu tegak lurus jari-jari lingkaran.
50
Gerak Melingkar
Kalau digambarkan dalam sumbu x-y, lintasan benda yang mengalami gerak melingkar tampak pada Gambar 3.18. Jarak benda ke pusat lintasan disebut jari-jari lintasan, R. Koordinat posisi benda setiap saat, yaitu x dan y memenuhi
3.58a
3.58b
51
Gerak Melingkar
Gambar 3.18 Lintasan benda yang melakukan gerak melingkar. Pusat lingkaran berada di pusat koordinat. Pada gerak melingkar arah kecepatan selalu berubah. Dengan demikian gerak melingkar selalu merupakan gerak dengan kecepatan tidak konstan. Walaupun laju benda konstan namun kecepatan tetap tidak konstan karena arah selalu berubah.
52
Gerak Melingkar
Dengan demikian posisi benda yang bergerak melingkar tiap saat adalah
(3.59)
Panjang jari-jari lintasan memenuhi teorema Phytagoras, yaitu
(3.60)
53
Gerak Melingkar
Kecepatan Sudut
(3.61)
54
Gerak Melingkar
Kecepatan Sudut
Gambar 3.19 Arah kecepatan benda yang melakukan gerak melingkar selalu menyinggung lintasan. Dengan demikian, kecepatan benda yang bergerak melingkar selalu beubah setiap saat meskipun lajunya konstan.
55
Gerak Melingkar
Kecepatan Sudut
Gambar 3.20 Hubungan antara kecepatan sudut dan laju linier (besar kecepatan linier). Laju sama dengan kecepatan sudut dikali jari-jari lintasan.
56
Gerak Melingkar
Kecepatan Linear
(3.62)
(3.63)
57
Gerak Melingkar
Kecepatan Linear
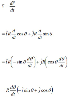
Setelah laju benda sepanjang keliling lintasan diberikan, lalu berapakan kecepatannya? Kecepatan adalah laju yang dilengkapi arah. Untuk menentukan kecepatan kita dapat berangkat dari persamaan posisi, karena kecepatan merupakan diferensial dari posisi. Dengan menggunakan persamaan (3.59) maka kecepatan benda adalah
58
Gerak Melingkar
Kecepatan Linear
(3.64)
59
Gerak Melingkar
Percepatan Sudut
60
Gerak Melingkar
Percepatan Sudut
(3.65)
61
Gerak Melingkar
Percepatan Sudut
Atau dengan mengambil selang waktu yang menuju nol maka percepatan tangensial dapat ditulis sebagai
(3.66)
Jika persamaan (3.63) disubstitusi ke dalam persamaan (3.66) maka percepatan tangensial dapat ditulis
(3.67)
62
Gerak Melingkar
Percepatan Sudut
Bagaimana menulis percepatan tangensial dalam bentuk vektor? Arah percepatan tangensial persis sama dengan arah kecepatan sehingga kita dapat menulis
(3.68)
dengan v ˆ adalah vektor satuan yang searah kecepatan. Vektor satuan tersebut dapat ditulis
(3.69)
63
Gerak Melingkar
Percepatan Sudut
Dengan demikian, vektor percepatan tangensial memiliki bentuk
(3.70)
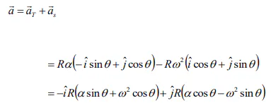
Di samping itu, untuk gerak melingkar apa pun selalu ada percepatan ke arah pusat. Percepatan tersebut dinamakan percepatan sentripetal. Pada saat pembahasan tentang gaya kita akan turunkan percepatan tersebut. Besarnya percepatan sentripetal adalah
64
Gerak Melingkar
Percepatan Sudut
Vektor ke arah pusat lingkaran berlawanan dengan arah vektor posisi (vektor jari-jari). Dengan demikian, vektor satuan ke arah pusat lintasan adalah
Dengan demikian, vektor percepatan ke arah pusat lintasan memenuhi
(3.71)
65
Gerak Melingkar
Percepatan Sudut
Vektor percepatan total benda yang bergerak melingkar menjadi
66
Gerak Melingkar
Pedal Gas dan Rem Kendaraan
Pedal gas pada kendaraan berfungsi untuk menghasilkan percepatan sudut positif (Gambar 3.22). Roda kendaraan yang sedang berhenti memiliki kecepatan sudut nol. Ketika kendaraan dihidupkan dan pedal gas diinjak maka roda berputar (memiliki kecepatan sudut). Ini berarti selama pedal gas diinjak dihasilkan percepatan sudut sehingga kecepatan sudut yang semula nol menjadi tidak nol.
Ketika pedal rem diinjak maka kendaraan mengalami perlambatan. Putaran roda yang semula cepat menjadi lambat. Ini pun menandakan adanya percepatan sudut yang bernilai negatif.
Gambar 3.22 Pedal gas kendaraan menghasilkan percepatan sudut positif pada roda dan pedal rem menghasilkan percepatan sudut negatif.
67
Gerak Melingkar
Satelit Geostasioner
Satelit geostrasioner adalah satelit yang apabila dilihat dari bumi seolah-olah diam (Gambar 3.23). Jika satelit tersebut tepat berada di atas kepala maka satelit tersebut akan tetap berada di atas kepala meskipun bumi terus berotasi dan satelit terus mengitari bumi.
Contoh satelit geostasioner adalah satelit Palapa. Satelit tersebut harus selalu berada di atas titik tertentu di atas wilayah Indonesia supaya dapat merelay siaran TV atau telekomunikasi di wilayah Indonesia. Kalau satelit tersebut berubah posisi maka beberapa jam atau beberapa hari berikutnya satelit mungkin bearada di atas wilayah negara lain dan tidak lagi dapat merelay siaran TV atau telekomunikasi di Indonesia.
Agar satelit tersebut selalu berada di atas wilayah tertentu maka kecepatan sudut satelit pada orbitnya harus persis sama denga kecepatan sudut rotasi bumi. Atau satelit mengelilingi bumi satu kali selama satu hari (24 jam). Agar ini dapat dicapai, berapa ketinggian satelit dari permukaan Bumi?
68
Gerak Melingkar
Satelit Geostasioner
Gambar 3.23 Satelit geostasioner memiliki ketinggian orbit 36.000 km dari permukaan bumi. Disebut geostasionar karena jika dilihat dari permukaan bumi satelit tersebut seolah-olah diam. Ini terjadi karena peroide orbit satelit mengelilingi bumi persis sama dengan periode rotasi bumi, yaitu 1 hari.
69
Gerak Melingkar
Roda Gigi
Robot dan peralatan listrik lain yang memiliki unsur gerak biasanya dilengkapi motor listrik. Listrik memutar motor dan putaran motor inilah yang menggerakkan alat. Putaran motor listrik biasanya sangat cepat sedangkan gerakan alat listrik seperti robot cukup lambat. Bagaimana caranya agar motor yang bergerak cepat tersebut menghasilkan gerakan lambat para peralatan listrik?
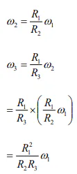
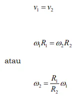
Untuk maksud ini digunakan pereduksi kecepatan. Inti dari pereduksi kecepatan adalah dua buah roda gigi yang berbeda jari-jari dan bersentuhan. Ketika bersentuhan maka kecepatan linier (kecepatan singgung) dua roda sama (Gambar 3.24). Karena jari-jari roda berbeda maka kecepatan sudut kedua roda menjadi berbeda. Roda yang berjari-jari besar akan memiliki kecepatan sudut lebih kecil. Apabila roda R1 yang diputar dengan kecepatan sudut 1 maka kecepatan sudut roda kedua dengan jari-jari R2 dapat ditentukan sebagai berikut
70
Gerak Melingkar
Roda Gigi
(3.72)
Gambar 3.24 Dua roda gigi yang bersentuhan dan berbeda jari-jari memiliki kecepatan linier singgunan yang sama namun kecepatan sudut yang berbeda
71
Gerak Melingkar
Roda Gigi
Gambar 3.25 Dua roda gigi berukuran berbeda yang disatukan.
Jika R2 sepuluh kali lebih besar daripada R1 maka kecepatan sudut roda besar menjadi sepersepuluh kecepatan sudut roda kecil.
Seringkali reduksi kecepatan sudut yang diinginkan bukan 10 kali tetapi bisa sampai ribuan kali. Apakah harus menggunakan dua roda gigi dengan perbandingan jari-jari 1000? Jika ini dilakukan maka besar sekali ukuran roda gigi yang digunakan. Jika roda kecil berukuran 1 cm maka roda besar harus berukuran 1000 cm = 10 meter! Tentu ukuran ini sangat tidak praktis. Lalu bagaimana caranya agar ukuran tetap kecil?
Untuk maksud tersebut digunakan roda gigi yang yang terdiri dari dua gigi dengan ukuran berbeda yang disatukan. Cara pemasangan tampak pada Gambar 3.25.
72
Gerak Melingkar
Roda Gigi
Dengan menggunakan roda yang memiliki disain pada Gambar 3.25, maka pemasangan roda gigi untuk mereduksi kecepatan sudut tampak pada Gambar 3.26. Berdasarkan pemasangan ini, kita dapat menentukan kecepatan sudut masing-masing roda sebagai berikut.
Misalkan R1/R2 = 10 maka dengan dua pasangan gigi pada Gambar 3.26 dihasilkan reduksi kecepatan sudut sebesar 100 kali.
(3.73)
Gambar 3.26 Pemasangan roda gigi untuk mereduksi kecepatan sudut dengan faktor yang besar (sumber gambar: footage.shutterstock.com).
73
Gerak Melingkar
Sabuk dan Rantai
Cara lain untuk mengubah kecepatan putaran tanpa menyentuhkan langsung dua roda gigi adalah adalah menggunakan sabuk (Gambar 3.27) atau rantai (Gambar 3.28). Pengunaan rantai umumnya dijumpai di sepeda atau sepeda motor. Penggunaan sabuk banyak dijumpai di pabrik-pabrik. Untuk mesin-mesin besar, sabuk lebih umum digunakan. Kalau menggunakan lagnsung roda gigi maka akan mudah merusak gigi karena sentuhan lagnsung gigi-gigi tersebut (gigi akan cepat aus).
Gambar 3.27 Sabuk yang digunakan pada mesin kompresor memberikan kecepatan sudut yang lebih kecil pada katup. Katup tersebut digerakkan oleh motor yang memiliki kecepatan sudut sangat besar.
74
Gerak Melingkar
Sabuk dan Rantai
Jika terjadi kerusakan pada roda gigi yang bersentuhan langsung (Gambar 3.25) maka yang harus diganti adalah roda gigi yang harganya mahal dan pemasangannya sulit. Jika terjadi kerusakan pada mesin yang dihubungkan oleh sabuk atau rantai maka kerusakan biasanya terjadi pada sabuk atau rantai. Harganya lebih murah dan proses penggantian lebih mudah..
Gambar 3.28 Rantai yang digunakan pada sepeda memberikan kecepatan sudut lebih besar pada roda. Kecepatan sudut putar pedal oleh kaki tidak terlalu pesar. Dengan menempelkan gigi ukuran kecil pada roda dan menghungkan gigi tersebut dengan gigi pedal menggunakan rantai maka kecepatan sudut putar roda lebih besar daripada kecepatan sudut putar pedal.
75
Gerak Melingkar
Rotasi Bumi pada Lintang Berbeda
Tiap titik di bumi berputar mngelilingi sumbu bumi satu kali dalam satu hari. Dengan demikian kecepatan sudut tiap titik di bumi sama. Sumbu bumi adalah garis lurus yang menghubungkan kutub utara, pusat bumi, dan kutub selatan bumi.
Bumi berputar dari barat ke timur sehingga Matahari, Bulan, dan bintang-bintang tampak bergerak dari timur ke barat. Panjang satu hari adalah 86.400 detik. Satu kali putaran penuh menempuh sudut 2 radian. Dengan demikian kerecapatan sudut rotasi bumi adalah
Walapun kecepatan sudut tiap titik di bumi sama, namun karena jarak titik-titik tersebut ke sumbu rotasi bumi berbeda-beda maka kecepatan sudut tiap titik berbeda. Jarak terbesar adalah titik di khatulistiwa dan jarak terkecil adalah titik di kutub (utara dan selatan). Perhatikan ilustrasi pada Gambar 3.29.
76
Gerak Melingkar
Rotasi Bumi pada Lintang Berbeda
Gambar 3.29 Jarak tiap titik di permukaan bumi ke sumbu bumi bergantung pada sudut lintang. Makin besar sudut lintang maka jarak makin kecil.
77
Gerak Melingkar
Rotasi Bumi pada Lintang Berbeda
(3.74)
78
Gerak Melingkar
Pengaruh Rotasi Bumi pada Arah Angin
Perbedaan kecepatan linier tempat di permukaan bumi yang memiliki lintang berbeda menimbulkan efek yang menarik pada arah putaran angin. Di belahan bumi utara, angin berputar sesuai dengan arah putaran jarum jam dan di belahan bumi selatang angin berputar berlawanan dengan arah putaran jarum jam (Gambar 3.30). Bagaimana menjelaskan fenomena ini?
Gambar 3.30 Akibat rotasi bumi maka di belahan bumi utara angin berputar sesuai dengan arah putaran jarum jam dan di belahan bumi selatan angin berputar berlawanan dengan arah putaran jarum jam.
79
Gerak Melingkar
Pengaruh Rotasi Bumi pada Arah Angin
Perhatikan angin yang berada di belahan bumi utara yang sedang bergerak ke utara. Komponen kecepatan atmosfer ke arah timur (akibat rotasi bumi) di lokasi baru (lokasi lebih utara) lebih kecil daripada komponen kecepatan atmosfer arah timur dari angin yang sedang menuju ke utara (komponen arah timur pada posisi lebih selatan lebih besar). Akibatnya di lokasi baru (lokasi lebih utara), angin memiliki komponen kecepatan ke arah timur lebih besar daripada di lokasi baru tersebut. Dengan demikian di lokasi baru (lebih utara) akan diamati angin membelok ke timur (Gambar 3.31).
Gambar 3.31 Arah pembelokan angin di belahan bumi utara dan selatan. Di belahan bumi utara angin selalu membelok sesuai dengan arah putaran jarum jam. Di belahan bumi selatan angin selalu membelok dalam arah berlawanan putaran jatum jam.
80
Gerak Melingkar
Pengaruh Rotasi Bumi pada Arah Angin
Jika di belahan bumi utara ada angin yang sedang bergerak ke selatan maka komponen arah ke timur kecepatan angin di lokasi awal (akibat rotasi bumi) lebih kecil dari komponen arah timur udara yang berada di sebelah selatan. Ketika mencapai lokasi baru di selatan maka angin tersebut tampak membelok ke barat (Gambar 3.31).
Penjelasan serupa dapat diterapkan untuk angin yang berada di belahan selatan bumi sehingga kita simpulkan di belahan selatan bumi angin membelok dalam arah berlawanan putaran jarum jam.
81
Gerak Melingkar
Simpangan ke arah Timur Benda Jatuh
Jika benda dijatuhkan dari gedung atau bangunan yang tinggi sebenarnya benda tidak jatuh tepat dalam arah vertikal. Benda akan sedikit menyimpang ke timur akibat pengaruh gravitasi bumi. Pertanyaannya adalah berapa jauh penimpangan posisi jatuh benda terhadap arah vertikal? Topik ini pernah disiskusikan oleh Stirling [D.R. Stirling, American Journal of Physics 51, 237 (1983)]. Mari kita ulangi lagi pembahasan tersebut supaya memiliki pengetahuan tambahan yang cukup menarik. Sebagai ilustrasi, perhatikan Gambar 3.32.
82
Gerak Melingkar
Simpangan ke arah Timur Benda Jatuh
Gambar 3.32 Benda yang dijatuhkan dari suatu ketinggian akan menyimpang dari posisi vertikal akibat adanya rotasi bumi.
83
Gerak Melingkar
Simpangan ke arah Timur Benda Jatuh
Gambar 3.32 Benda yang dijatuhkan dari suatu ketinggian akan menyimpang dari posisi vertikal akibat adanya rotasi bumi.
Atau atau waktu yang diperlukan benda untuk menyentuh tanah adalah
(3.75)
84
Gerak Melingkar
Simpangan ke arah Timur Benda Jatuh
Karena bumi berputah maka selama jatuh menda mendapatkan percepatan ke arah belakang yang merupakan proyeksi percepatan gravitasi bumi dalam arah horisontal. Berdasarkan Gambar 3.32 besar percepatan tersebut adalah
Untuk benda yang tahun pada benda dengan ketinggian genung atau gunung, sudut sangat keci. Untuk sudut yang kecil maka kita dapat aproksimasi
(3.76)
(3.77)
Dengan demikian besar perceparan arah vertikal dapat diaproksimasi menjadi
(3.78)
85
Gerak Melingkar
Simpangan ke arah Timur Benda Jatuh
Dengan adanya percepatan ini maka laju benda ke arah depan relatif terhadap permukaan tanah setiap saat adalah
(3.79)
86
Gerak Melingkar
Simpangan ke arah Timur Benda Jatuh
Perpindahan benda di dasar tanah
(3.80)
87
Multiple Choice
Sebuah peluru ditembakkan dari puncak menara yang tingginya 500 m dengan kecepatan 100 m s–1 dan arah mendatar. Apabila g = 10 m s–2 , dimanakah peluru menyentuh tanah dihitung dari kaki menara ?
1000m
900m
800m
500m
88
Multiple Choice
Sebuah peluru ditembakkan dengan kecepatan awal 100 m s–1 dan sudut elevasi 300. Jika gravitasi di tempat itu 10 m s–2, maka waktu yang diperlukan peluru tersebut untuk mencapai titik tertinggi adalah …
2 sekon
10 sekon
5 sekon
6 sekon
89
Multiple Choice
Sebuah roda melakukan 900 putaran dalam waktu 30 detik. Berapakah kecepatan sudut rata ratanya dalam satuan rad/s?
100 rad/s
145.13 rad/s
155.67 rad/s
188,4 rad/s
90
Multiple Choice
Sebuah CD yang memiliki jari‐jari 5 cm berputar melalui sudut 90°. Berapakah jarak yang ditempuh oleh sebuah titik yang terletak pada tepi CD tersebut?
5.55 cm
7.85 cm
6.45 cm
8.76 cm
91
Multiple Choice
Sebuah bola bermassa 200 gram diikat pada ujung sebuah tali dan diputar dengan kelajuan tetap sehingga gerakan bola tersebut membentuk lingkaran horisontal dengan radius 0.2 meter. Jika bola menempuh 10 putaran dalam 5 detik, berapakah percepatan sentripetalnya?
0.18 m/s²
1.56 m/s²
2.34 m/s²
2.32 m/s²
Gerak Dua Dimensi
Gerak Peluru
Gerak Melingkar
Bab 3 GERAK DUA DIMENSI
: Nurul Atika
: H0421004
: Pendidikan Fisika 21A
Nama
NIM
Prodi
Prodi Pendidikan Fisika
Fakultas Keguruan dan Ilmu Pendidikan
Universitas Sulawesi Barat
2023
Show answer
Auto Play
Slide 1 / 91
SLIDE
Similar Resources on Wayground
91 questions
EKONOMI MANAJERIAL
Presentation
•
University
83 questions
Guru Sebagai Inovator, Kolaborator, dan Kontributor Digital
Presentation
•
Professional Development
90 questions
Rapor Pendidikan
Presentation
•
Professional Development
82 questions
heat & temp
Presentation
•
University
87 questions
PERCAMAs Class
Presentation
•
University
84 questions
RELASIS UTHM
Presentation
•
University
94 questions
Makroekonomi Matrikulasi -Wang dan Bank
Presentation
•
University
85 questions
Akreditasi
Presentation
•
University - Professi...
Popular Resources on Wayground
10 questions
Fire Safety Quiz
Quiz
•
12th Grade
20 questions
Equivalent Fractions
Quiz
•
3rd Grade
20 questions
Main Idea and Details
Quiz
•
5th Grade
20 questions
Context Clues
Quiz
•
6th Grade
20 questions
Inferences
Quiz
•
4th Grade
36 questions
6th Grade Math STAAR Review
Quiz
•
6th Grade
19 questions
Classifying Quadrilaterals
Quiz
•
3rd Grade
12 questions
What makes Nebraska's government unique?
Quiz
•
4th - 5th Grade
Discover more resources for Physics
15 questions
LGBTQ Trivia
Quiz
•
University
36 questions
8th Grade US History STAAR Review
Quiz
•
KG - University
25 questions
5th Grade Science STAAR Review
Quiz
•
KG - University
25 questions
Spanish future tense
Quiz
•
10th Grade - University
16 questions
Parallel, Perpendicular, and Intersecting Lines
Quiz
•
KG - Professional Dev...
15 questions
8th Math STAAR Review
Quiz
•
8th Grade - University
215 questions
8th Physical Science GA Milestones Review
Quiz
•
KG - University
12 questions
Preterito de verbos irregulares
Presentation
•
9th Grade - University