
Ulangan Harian Matriks
Authored by hasnna kariimah
Mathematics
11th Grade
Used 9+ times

AI Actions
Add similar questions
Adjust reading levels
Convert to real-world scenario
Translate activity
More...
Content View
Student View
15 questions
Show all answers
1.
MULTIPLE CHOICE QUESTION
1 min • 6 pts
Matriks yang mengalami pertukaran elemen dari kolom menjadi baris atau sebaliknya disebut...
Adjoin Matriks
Transpos Matriks
Invers Matriks
Determinan Matriks
Kontaktor Matriks
2.
MULTIPLE CHOICE QUESTION
1 min • 6 pts
Susunan bilangan yang disusun ke dalam baris dan kolom disebut..
Elemen
Ordo
Kolom
Matriks
Baris
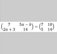
3.
MULTIPLE CHOICE QUESTION
3 mins • 6 pts
Tentukan nilai a+b dalam kesamaan matriks berikut.
2
3
-4
-5
-3
4.
MULTIPLE CHOICE QUESTION
1 min • 6 pts
Berapa banyaknya elemen pada matriks yang berordo (3x2)?
2
3
5
4
6
5.
MULTIPLE CHOICE QUESTION
3 mins • 6 pts
SMA Tarakanita mempunyai tiga kelompok belajar OSN untuk kelas XI. Kelompok belajar Matematika mempunyai 27 siswa laki-laki dan 30 siswa perempuan, kelompok belajar Fisika mempunyai 18 siswa laki-laki dan 15 siswa perempuan, sedangkan kelompok belajar Kimia mempunyai 8 siswa laki-laki dan 16 siswa perempuan. Susunlah suatu matriks berdasarkan keteran di atas.
6.
MULTIPLE CHOICE QUESTION
3 mins • 6 pts
...
4
Tidak ada
-1
0
2
7.
MULTIPLE CHOICE QUESTION
1 min • 6 pts
Banyak baris pada matriks D adalah...
4
6
8
3
10
Access all questions and much more by creating a free account
Create resources
Host any resource
Get auto-graded reports

Continue with Google

Continue with Email

Continue with Classlink

Continue with Clever
or continue with

Microsoft
%20(1).png)
Apple
Others
Already have an account?